Ngày 4/11/2021, đấu giá quyền sử dụng 26 thửa đất tại huyện Bố Trạch, tỉnh Quảng Bình

(BĐT) - Trung tâm Dịch vụ đấu giá tài sản tỉnh Quảng Bình thông báo đấu giá tài sản vào ngày 4/11/2021 do Ban quản lý dự án Đầu tư xây dựng và Phát triển quỹ đất huyện Bố Trạch ủy quyền như sau:

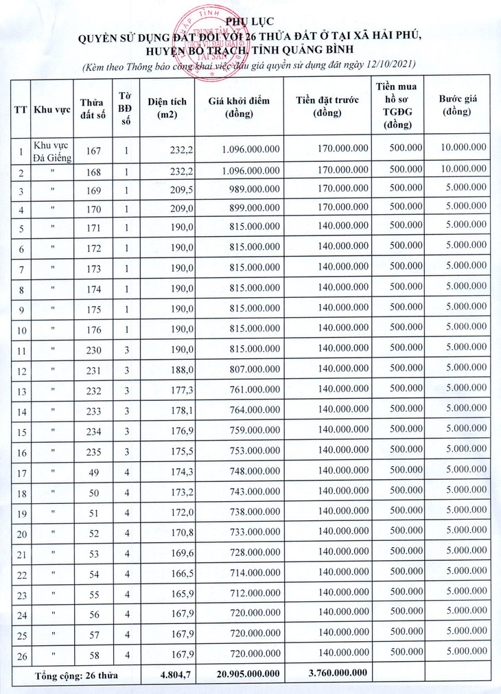
Quyền sử dụng đất ở đối với 26 thửa đất tại xã Hải Phú, huyện Bố Trạch, tỉnh Quảng Bình

Ban quản lý dự án Đầu tư xây dựng và Phát triển quỹ đất huyện Bố Trạch

Kết nối đầu tư