Ngày 18/12/2019, đấu giá quyền sử dụng đất tại huyện Quảng Xương, tỉnh Thanh Hóa

(BĐT) - Công ty Đấu giá Hợp Danh Hoàng Nguyên thông báo bán đấu giá tài sản vào ngày 18/12/2019 do UBND huyện Quảng Xương ủy quyền như sau:

 1. Tên, địa chỉ của tổ chức đấu giá tài sản: Công ty Đấu giá Hợp Danh Hoàng Nguyên, lô 177 MBQH 89/XD-UBTH đường Dương Đình Nghệ, phường Đông Thọ, thành phố Thanh Hóa, tỉnh Thanh Hóa.

2. Đơn vị có tài sản đấu giá: UBND huyện Quảng Xương - Khu phố 2 - Thị Trấn Quảng Xương, huyện Quảng Xương.

3. Tài sản đấu giá, nơi có tài sản đấu giá:

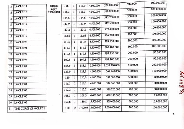
- Tài sản đấu giá: 68 lô đất thuộc MBQH Kèm theo Quyết định số 778/QĐ-UBND ngày 23/4/2018 thuộc xã Quảng Thạch, huyện Quảng Xương

* Thông tin cụ thể về tài sản đấu giá:

- Vị trí khu đất: xã Quảng Thạch, huyện Quảng Xương, tỉnh Thanh Hóa.

+ Phía Đông: Giáp đường giao thông.

+ Phía Tây: Giáp đường giao thông.

+ Phía Nam: Giáp khu dân cư hiện trạng.

+ Phía Bắc: Giáp đường giao thông.

- Tổng diện tích khu đất đấu giá: 7.582,9 m2.

- Diện tích và số lô đất đấu giá: Thể hiện chi tiết tại danh mục các lô đất đính kèm thông báo này.

- Hạ tầng kỹ thuật: Đang thi công hạ tầng kỹ thuật.

- Tài sản gắn liền với các lô đất đấu giá: Không

* Mục đích, thời hạn sử dụng đất, giới hạn các lô đất:

- Mục đích sử dụng: Đất ở

- Hình thức: Nhà nước giao đất có thu tiền sử dụng đất theo hình thức đấu giá QSDĐ

- Thời hạn sử dụng đất: Giao đất lâu dài

* Mục đích đấu giá: Khai thác quỹ đất tạo nguồn thu xây dựng cơ sở hạ tầng, phát triển kinh tế.

4. Giá khởi điểm, bước giá để tổ chức đấu giá:

Giá khởi điểm của tài sản đấu giá: Thể hiện chi tiết tại danh mục các lô đất đính kèm thông báo này.

Bước giá: Bước giá để tổ chức đấu giá là 1% mức giá trả cao nhất của vòng đấu liền kề trước đó.

5. Tiền đặt trước:

- Cách thức, địa điểm nộp tiền đặt trước: Tiền đặt trước được chuyển khoản vào tài khoản của Công ty đấu giá hợp danh Hoàng Nguyên, Số tài khoản: 15 08 79 999 01 tại NH TMCP Tiên Phong (TP Bank) - Thanh Hóa. Khách hàng nộp tiền đặt trước theo đúng thời gian quy định và phải nộp lại giấy nộp tiền đặt trước cho tổ chức đấu giá khi nộp hồ sơ tham gia đấu giá.

- Số tiền đặt trước: Thể hiện chi tiết tại danh mục các lô đất đính kèm thông báo này.

- Thời gian nộp tiền đặt trước: Ngày 13/12/2019; 16/12/2019 và ngày 17/12/2019 (trong giờ hành chính).

Nội dung nộp tiền: Nguyễn Văn A nộp tiền đặt trước tham gia đấu giá quyền sử dụng đất xã Quảng Thạch, huyện Quảng Xương (Nguyễn Văn A là người có đơn đăng ký tham gia đấu giá)

6. Đối tượng tham gia: Hộ gia đình, cá nhân trong nước có đầy đủ năng lực hành vi dân sự theo quy định của pháp luật, thuộc đối tượng được nhà nước giao đất có thu tiền sử dụng đất theo quy định của Luật đất đai và có nhu cầu sử dụng đất để làm nhà ở theo quy hoạch đã được cơ quan nhà nước có thẩm quyền phê duyệt.

7. Thời gian, địa điểm xem tài sản, bán, tiếp nhận hồ sơ đấu giá:

- Thời gian, địa điểm xem tài sản: Từ ngày 02/12/2019 đến hết ngày 03/12/2019 tại khu đất thuộc UBND xã Quảng Thạch, huyện Quảng Xương, tỉnh Thanh Hóa.

- Thời gian, địa điểm bán và tiếp nhận hồ sơ tham gia đấu giá tại Công ty Đấu giá Hợp danh Hoàng Nguyên: Từ ngày 02/12/2019 đến 16 giờ 30 phút ngày 16/12/2019 (trong giờ hành chính).

- Thời gian bán hồ sơ tại UBND xã Quảng Thạch: Từ ngày 02/12/2019 đến 13/12/2019. Tiếp nhận hồ sơ tại UBND xã Quảng Thạch: buổi sáng từ 8h00 phút đến 11h00 phút ngày 16/12/2019.

Người tham gia đấu giá có thể tự tìm hiểu tài sản và tham khảo hồ sơ, quy chế cuộc đấu giá tại trụ sở Công ty đấu giá Hợp danh Hoàng Nguyên trong thời gian bán hồ sơ tham gia đấu giá (Hồ sơ đã mua không được đổi, không được trả lại, người tham gia đấu giá nghiên cứu kỹ mặt bằng khu đất và hồ sơ trước khi mua hồ sơ tham gia đấu giá).

8. Thời gian, địa điểm tổ chức đấu giá tài sản: Từ 14 giờ 00 phút ngày 18/12/2019 tại hội trường UBND xã Quảng Thạch, huyện Quảng Xương, tỉnh Thanh Hóa.

9. Phí đăng ký tham gia đấu giá (tính cho 01 bộ hồ sơ tham gia đấu giá): 500.000 đồng/1 bộ hồ sơ đối với các lô đất từ lô CLE: 01 đến lô CLE: 21; từ lô CLF:01 đến lô CLF:05 và các lô CLF:07; CLF:26 và CLF:27.

Đối với các lô đất còn lại, phí hồ sơ tham gia đấu giá là 200.000 đồng/1 bộ hồ sơ.

10. Điều kiện, cách thức đăng ký tham gia đấu giá:

- Quy định trong quy chế của hồ sơ đấu giá.

11. Hình thức đấu giá, phương thức đấu giá

- Hình thức đấu giá:

+ Đấu giá theo 01m2 đất để tính QSD đất tại MBQH khu dân cư xã Quảng Thạch, huyện Quảng Xương (MBQH Kèm theo Quyết định số 778/QĐ-UBND ngày 23/4/2018 thuộc xã Quảng Thạch, huyện Quảng Xương) để làm nhà ở cho hộ gia đình, cá nhân.

+ Đấu giá bằng bỏ phiếu trực tiếp tại cuộc đấu giá (đấu 01 vòng duy nhất).

- Phương thức đấu giá: Trả giá lên.

* Khách hàng có nhu cầu đấu giá tài sản trên liên hệ với Công ty đấu giá hợp danh Hoàng Nguyên, lô 177 MBQH 89/XD-UBTH đường Dương Đình Nghệ, phường Đông Thọ, Thành phố Thanh Hóa (trong giờ hành chính; điện thoại: 02373.724.994; Email: daugiaqt@gmail.com)./.

Kết nối đầu tư