Tổ chức đấu giá tài sản: Trung tâm dịch vụ đấu giá tài sản tỉnh Quảng Ngãi thuộc Sở Tư pháp (sau đây gọi tắt là Trung tâm); địa chỉ: Số 15, đường Nguyễn Thiệu, phường Nghĩa Chánh, thành phố Quảng Ngãi, tỉnh Quảng Ngãi.
Người có tài sản đấu giá: Phòng Kinh tế và Hạ tầng huyện Nghĩa Hành; địa chỉ: Thị trấn Chợ Chùa, huyện Nghĩa Hành, tỉnh Quảng Ngãi.
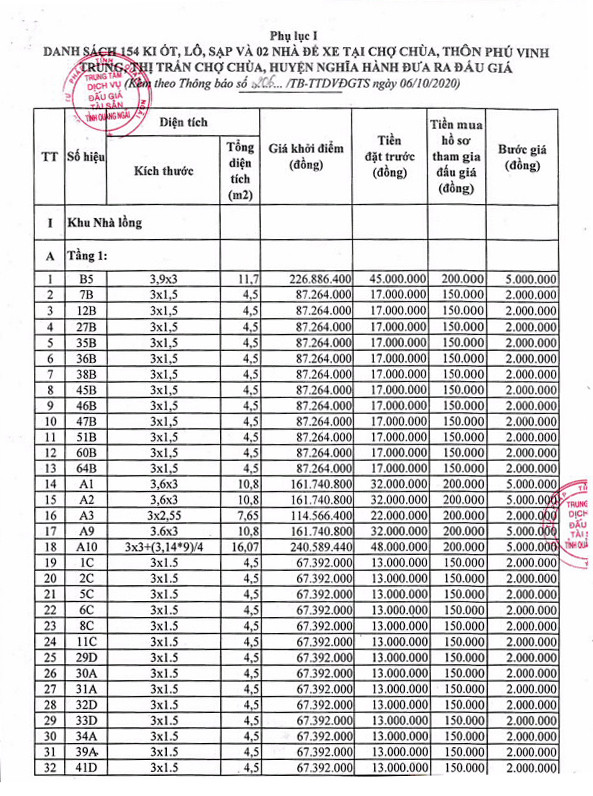
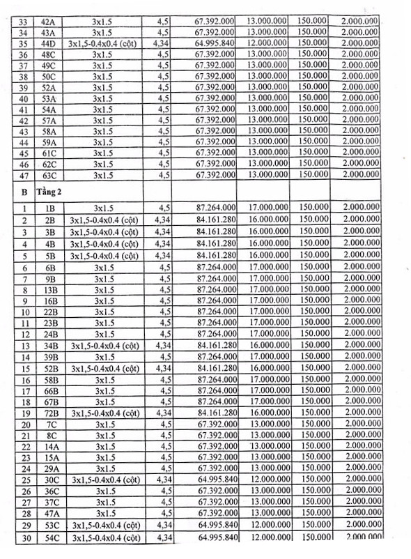
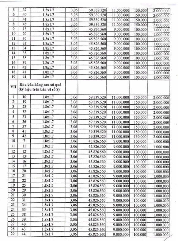
Tài sản đấu giá: Cho thuê quyền sử dụng 154 ki ốt, lô, sạp và 02 nhà để xe tại Chợ Chùa (không bao gồm quyền sử dụng đất); địa điểm: Tổ dân phố Phú Vinh Trung, thị trấn Chợ Chùa, huyện Nghĩa Hành, tỉnh Quảng Ngãi.
- Có Danh sách ký hiệu, diện tích, giá khởi điểm, tiền đặt trước, tiền mua hồ sơ tham gia đấu giá và bước giá của từng ki ốt, lô, sạp, nhà để xe tại Phụ lục I kèm theo Thông báo này.
- Trung tâm tổ chức đấu giá riêng lẻ từng ki ốt, lô, sạp, nhà để xe tại Chợ Chùa.
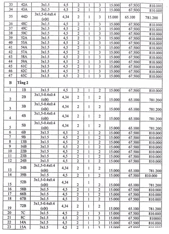
- Ngoài khoản tiền thuê quyền sử dụng ki ốt, lô, sạp và nhà để xe phải nộp khi trúng đấu giá, người thuê quyền sử dụng ki ốt, lô, sạp và nhà để xe còn phải nộp các khoản chi phí phục vụ công tác quản lý chợ tương ứng với ki ốt, lô, sạp và nhà để xe mình đã trúng đấu giá với mức thu theo quy định tại Phụ lục II kèm theo Thông báo này.
- Giá khởi điểm và chi phí phục vụ công tác quản lý chợ của từng ki ốt, lô, sạp, nhà để xe tại Chợ Chùa đưa ra đấu giá nêu trên chưa bao gồm chi phí điện, nước, vệ sinh môi trường và các khoản chi phí khác (nếu có). Trung tâm và Phòng Kinh tế và Hạ tầng huyện Nghĩa Hành không khấu trừ bất kỳ một khoản chi phí nào cho người trúng đấu giá, người thuê được tài sản đấu giá.
- Thời hạn cho thuê quyền sử dụng: 16 năm, kể từ ngày người trúng đấu giá ký kết Hợp đồng thuê tài sản đấu giá với cơ quan cấp có thẩm quyền.
Thời hạn, địa điểm xem thực tế, thực địa các ki ốt, lô, sạp và nhà để xe: Từ ngày niêm yết việc đấu giá tài sản cho đến ngày 26/10/2020 (trong giờ hành chính) tại Chợ Chùa; địa chỉ: Tổ dân phố Phú Vinh Trung, thị trấn Chợ Chùa, huyện Nghĩa Hành, tỉnh Quảng Ngãi.
Thời gian bán/mua hồ sơ; đăng ký, nộp hồ sơ tham gia đấu giá:
- Tại Trung tâm: Từ ngày niêm yết việc đấu giá tài sản đến 16 giờ 30 phút, ngày 26/10/2020 (trong giờ hành chính).
- Tại Phòng Kinh tế và Hạ tầng huyện Nghĩa Hành: Vào các ngày 09/10/2020, 16/10/2020, 23/10/2020 (trong giờ hành chính) và từ 14 giờ 00 phút đến 16 giờ 30 phút ngày 26/10/2020.
Điều kiện, đối tượng, cách thức đăng ký, nộp hồ sơ tham gia đấu giá:
- Điều kiện, đối tượng đăng ký tham gia đấu giá: Tổ chức, cá nhân có nhu cầu và được phép tham gia đấu giá để thuê quyền sử dụng ki ốt, lô, sạp, nhà để xe tại Chợ Chùa theo quy định của Luật Đấu giá tài sản năm 2016 và các quy định của pháp luật hiện hành có liên quan, cụ thể:
+ Đối với 154 ki ốt, lô sạp tại Chợ Chùa: Tổ chức, cá nhân có nhu cầu sử dụng ki ốt, lô, sạp tại Chợ Chùa theo đúng thiết kế đã được cấp có thẩm quyền phê duyệt và các quy định của pháp luật hiện hành liên quan đến chợ thì có quyền đăng ký tham gia đấu giá theo quy định tại Quy chế đấu giá cho thuê quyền sử dụng 161 ki ốt, lô, sạp và 02 nhà để xe tại Chợ Chùa (không bao gồm quyền sử dụng đất); địa điểm: Tổ dân phố Phú Vinh Trung, thị trấn Chợ Chùa, huyện Nghĩa Hành được phê duyệt tại Quyết định số 228/QĐ-UBND ngày 08/9/2020 của Chủ tịch UBND huyện Nghĩa Hành và Quyết định số 241/QĐ-UBND ngày 02/10/2020 của Chủ tịch UBND huyện Nghĩa Hành về việc phê duyệt điều chỉnh khoản 3, khoản 4 Điều 6 Quyết định số 228/QĐ-UBND ngày 08/9/2020 của UBND huyện Nghĩa Hành.
+ Đối với 02 nhà để xe tại Chợ Chùa: Tổ chức, cá nhân có nhu cầu sử dụng 02 nhà để xe tại Chợ Chùa theo đúng thiết kế đã được cấp có thẩm quyền phê duyệt và các quy định của pháp luật hiện hành liên quan đến chợ; có Bản cam kết phải đảm bảo trang thiết bị để trông, giữ xe (như thẻ giữ xe, camera an ninh…) sau khi trúng đấu giá thì có quyền đăng ký tham gia đấu giá theo quy định tại Quy chế đấu giá cho thuê quyền sử dụng 161 ki ốt, lô, sạp và 02 nhà để xe tại Chợ Chùa (không bao gồm quyền sử dụng đất); địa điểm: Tổ dân phố Phú Vinh Trung, thị trấn Chợ Chùa, huyện Nghĩa Hành được phê duyệt tại Quyết định số 228/QĐ-UBND ngày 08/9/2020 của Chủ tịch UBND huyện Nghĩa Hành và Quyết định số 241/QĐ-UBND ngày 02/10/2020 của Chủ tịch UBND huyện Nghĩa Hành về việc phê duyệt điều chỉnh khoản 3, khoản 4 Điều 6 Quyết định số 228/QĐ-UBND ngày 08/9/2020 của UBND huyện Nghĩa Hành.
- Cách thức đăng ký tham gia đấu giá: Người tham gia đấu giá mua Hồ sơ tham gia đấu giá phải nghiên cứu kỹ toàn bộ nội dung Quy chế cuộc đấu giá, các điều kiện đã nêu trong Hồ sơ tham gia đấu giá, điền đầy đủ thông tin vào Đơn đăng ký tham gia đấu giá tài sản và nếu hoàn toàn đồng ý thì nộp Hồ sơ tham gia đấu giá cho Trung tâm, gồm:
+ Đơn đăng ký tham gia đấu giá (bản gốc);
+ 02 bản sao có chứng thực hoặc bản sao kèm theo bản chính để đối chiếu các loại giấy tờ sau: Giấy Chứng minh nhân dân (đối với cá nhân) và các giấy tờ có liên quan; Giấy Chứng nhận đăng ký kinh doanh, Giấy Chứng minh nhân dân của người đại diện theo pháp luật (đối với tổ chức, hộ kinh doanh cá thể) và các giấy tờ có liên quan;
+ Văn bản ủy quyền (nếu có).
Thời gian, địa điểm nộp tiền đặt trước: Từ ngày 26/10/2020 đến 11 giờ 00 phút, ngày 28/10/2020 (trong giờ hành chính). Người tham gia đấu giá có quyền nộp tiền đặt trước từ ngày thông báo đến 11 giờ 00 phút, ngày 28/10/2020 (trong giờ hành chính).
Phương thức nộp tiền đặt trước: Chuyển/nộp vào tài khoản của Trung tâm số: 4506.201.002596 mở tại Ngân hàng Nông nghiệp và phát triển nông thôn Việt Nam - Chi nhánh thành phố Quảng Ngãi; địa chỉ: Số 47, đường Hùng Vương, thành phố Quảng Ngãi, tỉnh Quảng Ngãi.
Trường hợp người tham gia đấu giá chuyển khoản số tiền đặt trước thì số tiền này phải đảm bảo được chuyển vào số tài khoản của Trung tâm đến 11 giờ 00 phút ngày 28/10/2020. Nếu quá thời hạn trên, số tiền đặt trước của người tham gia đấu giá chưa vào tài khoản của Trung tâm dịch vụ đấu giá tài sản tỉnh Quảng Ngãi thì xem như người tham gia đấu giá chưa nộp tiền đặt trước và không đủ điều kiện tham gia đấu giá.
Ngay sau khi nộp tiền đặt trước, người tham gia đấu giá phải cung cấp chứng từ nộp tiền đặt trước cho Trung tâm nhưng phải còn trong thời gian nộp tiền đặt trước để phát hành Giấy mời tham gia cuộc đấu giá và hoàn tất thủ tục trước khi đấu giá. Trường hợp người tham gia đấu giá không cung cấp chứng từ nộp tiền đặt trước cho Trung tâm trong thời gian nêu trên thì Trung tâm không phát hành Giấy mời và mọi khiếu nại về sau Trung tâm không chịu trách nhiệm giải quyết.
Thời gian tổ chức cuộc đấu giá: Dự kiến vào ngày 29/10/2020 (buổi sáng bắt đầu lúc 08 giờ 00 phút; buổi chiều bắt đầu lúc 13 giờ 30 phút).
Địa điểm tổ chức cuộc đấu giá: Tại Hội trường UBND huyện Nghĩa Hành; địa chỉ: Thị trấn Chợ Chùa, huyện Nghĩa Hành, tỉnh Quảng Ngãi.
Hình thức đấu giá: Đấu giá trực tiếp bằng lời nói tại cuộc đấu giá.
Phương thức đấu giá: Phương thức trả giá lên.
Tổ chức, cá nhân có nhu cầu và muốn biết cụ thể, chi tiết liên hệ trực tiếp đến Phòng Kinh tế và Hạ tầng huyện Nghĩa Hành hoặc Trung tâm; địa chỉ: Số 15, đường Nguyễn Thiệu, phường Nghĩa Chánh, thành phố Quảng Ngãi, tỉnh Quảng Ngãi (đối diện UBND phường Nghĩa Chánh; địa chỉ: Đường Nguyễn Du, thành phố Quảng Ngãi); điện thoại: 0255.3828925, 3837018, 3837015, 3837266./.
![]() |
![]() |
![]() |
![]() |
![]() |
![]() |
![]() |
![]() |
![]() |
![]() |









