Căn cứ Hợp đồng Dịch vụ đấu giá tài sản số 01/HĐ-DVĐGTS ngày 03/11/2020 giữa Trung tâm Dịch vụ đấu giá tài sản tỉnh Bình Phước và Trung tâm Phát triển quỹ đất thị xã Bình Long, tỉnh Bình Phước;
1. Tổ chức đấu giá tài sản: Trung tâm dịch vụ đấu giá tài sản tỉnh Bình Phước
Địa chỉ: Đường trần Hưng Đạo, P. Tân Phú, TP. Đồng Xoài, tỉnh Bình Phước
2. Đơn vị có tài sản đấu giá: Trung tâm Phát triển quỹ đất thị xã Bình Long, tỉnh Bình Phước - Địa chỉ: Phường Hưng Chiến, thị xã Bình Long, tỉnh Bình Phước.
3. Tài sản đấu giá, giá khởi điểm, mục đích, thời hạn sử dụng đất, hình thức sử dụng đất.
Quyền sử dụng đất: 46 lô đất tại thị xã Bình Long, tỉnh Bình Phước, bao gồm:
Lô số 21 Khu Trung tâm hành chính xã Thanh Phú.
Diện tích: 113 m2 (Một trăm mười ba mét vuông)
Giá khởi điểm: 1.302.121.000 đồng (Một tỷ ba trăm lẻ hai triệu một trăm hai mươi mốt ngàn đồng)
Mục đích sử dụng: Đất ở nông thôn
Lô 12C thuộc KDC đường Nguyễn Chí Thanh, phường Hưng Chiến.
Diện tích: 90 m2 (Chín mươi mét vuông)
Giá khởi điểm: 781.533.000 đồng (Bảy trăm tám mươi mốt triệu năm trăm ba mươi ba ngàn đồng)
Mục đích sử dụng: Đất ở đô thị
02 (Hai) lô đất đường Nguyễn Du, khu phố Phú Xuân, Phường Phú Thịnh.
Tổng diện tích: 757,9 m2 (Bảy trăm năm mươi bảy phẩy chín mét vuông)
Tổng giá khởi điểm: 7.026.691.000 đồng (Bảy tỷ không trăm hai mươi sáu triệu sáu trăm chín mươi mốt ngàn đồng)
02 (Hai) lô đất đường Nơ Trang Long, khu phố Phú Xuân, Phường Phú Thịnh.
Tổng diện tích: 159,72 m2 (Một trăm năm mươi chín phẩy bảy hai mét vuông)
Tổng giá khởi điểm: 1.536.510.000 đồng (Một tỷ năm trăm ba mươi sáu triệu năm trăm mười ngàn đồng)
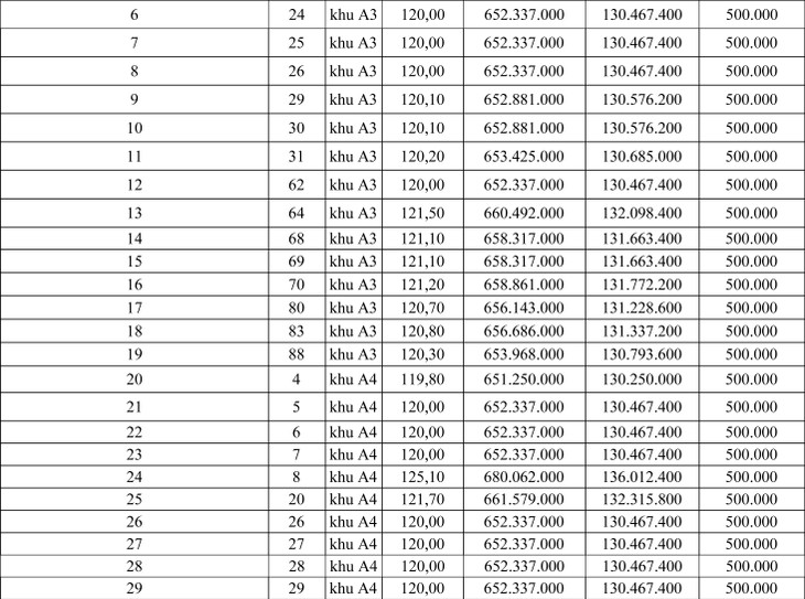
40 lô đất khu dân cư hồ Sa Cát, phường Hưng Chiến.
Tổng diện tích: 4.862,8 m2 (Bốn ngàn tám trăm sáu mươi hai phẩy tám mét vuông)
Tổng giá khởi điểm: 26.434.877.000 đồng (Hai mươi sáu tỷ bốn trăm ba mươi bốn triệu tám trăm bảy mươi bảy ngàn đồng)
Các lô đất được đấu giá riêng lẻ theo từng lô (Có danh sách chi tiết các lô đất kèm theo)
Loại đất: Đất ở đô thị, riêng lô đất số 21 Khu Trung tâm hành chính xã Thanh Phú là đất ở nông thôn;
Mục đích: Nhà nước giao đất có thu tiền sử dụng đất
Thời hạn sử dụng: lâu dài;
4. Hình thức đấu giá: Đấu giá bằng bỏ phiếu trực tiếp tại cuộc đấu giá liên tục, nhiều vòng cho đến khi không còn người nào tiếp tục trả giá.
5. Phương thức đấu giá: Phương thức trả giá lên.
6. Thời gian, địa điểm phát hành hồ sơ tham gia đấu giá: Từ ngày 04/11/2020 đến 17h00 ngày 24/11/2020 tại Trung tâm Phát triển quỹ đất thị xã Bình Long và Trung tâm Dịch vụ đấu giá tài sản tỉnh Bình Phước.
7. Thời gian, địa điểm xem tài sản: Từ ngày 18/11/2020 đến ngày 20/11/2020 tại khu đất đấu giá. Khách hàng liên hệ: Mr. Bình 0916.848.969 để được hướng dẫn xem tài sản.
8. Tiền đặt trước: 20% (Mười phần trăm) trên giá khởi điểm của tài sản đấu giá. Người tham gia đấu giá nộp tiền đặt trước vào tài khoản của Trung tâm DVĐGTS vào ngày 24/11/2020 (Đến 17h00). Nếu tổ chức tham gia đấu giá có nhu cầu nộp trước thời gian quy định thì phải thỏa thuận với Trung tâm Dịch vụ đấu giá tài sản tỉnh Bình Phước.
9. Tiền mua Hồ sơ tham gia đấu giá: Người tham gia đấu giá phải nộp tiền hồ sơ tham gia đấu giá là 500.000đ (Năm trăm ngàn đồng)/01 lô đất.
10. Thời gian, địa điểm đấu giá: 08h30 ngày 27/11/2020 tại Hội trường thị ủy thị xã Bình Long, tỉnh Bình Phước.
11. Thời gian, địa điểm, điều kiện, cách thức đăng ký tham gia đấu giá
Khách hàng đăng ký tham gia đấu giá phải trực tiếp đăng ký tham gia đấu giá từ ngày 04/11/2020 đến 17h00 ngày 24/11/2020 duy nhất một địa điểm là Trung tâm Phát triển quỹ đất thị xã Bình Long. Trường hợp đăng ký thay thì phải có giấy ủy quyền theo quy định của pháp luật.
12. Điều kiện đăng ký tham gia đấu giá:
Tổ chức kinh tế, hộ gia đình, cá nhân thuộc đối tượng được Nhà nước giao đất có thu tiền sử dụng đất hoặc cho thuê đất theo quy định của Luật đất đai có nhu cầu sử dụng đất để thực hiện dự án đầu tư hoặc làm nhà ở theo quy hoạch đã được cơ quan Nhà nước có thẩm quyền phê duyệt. Đồng thời không thuộc các trường hợp người không được tham gia đấu giá tại khoản 4, điều 38, Luật Đấu giá tài sản.
Một (01) tổ chức chỉ được một (01) cá nhân đại diện tham gia đấu giá; trường hợp có hai (02) doanh nghiệp trở lên thuộc cùng một (01) tổng công ty hoặc tập đoàn thì chỉ được một (01) doanh nghiệp tham gia đấu giá; trường hợp tổng công ty hoặc tập đoàn với công ty thành viên, công ty mẹ và công ty con, doanh nghiệp liên doanh với một bên góp vốn trong liên doanh thì chỉ được (một) doanh nghiệp tham gia đấu giá.
Hồ sơ đăng ký tham gia đấu giá bao gồm:
Đơn xin tham gia đấu giá do Trung tâm Dịch vụ đấu giá tài sản tỉnh Bình Phước phát hành;
Bản sao CMND/Hộ chiếu/Thẻ căn cước có chứng thực;
Bản sao có chứng thực Sổ hộ khẩu đối với người tham gia đấu giá là cá nhân hoặc Giấy phép kinh doanh đối với tổ chức;
Chứng từ nộp tiền đặt trước tham gia đấu giá theo quy định;
Cam kết xem tài sản đấu giá.
Mọi tổ chức, cá nhân có nhu cầu xin liên hệ tại:
+ Trung tâm dịch vụ đấu giá tài sản tỉnh Bình Phước - Đường Trần Hưng Đạo, P. Tân Phú, TP. Đồng Xoài, tỉnh Bình Phước - ĐT: 02713 860 216
+ Trung tâm Phát triển quỹ đất thị xã Bình Long - Địa chỉ: Đường Phường Hưng Chiến, thị xã Bình Long, tỉnh Bình Phước – ĐT: 02713 682 328
hoặc xem tại: Website: http://taisancong.vn; https://dgts.moj.gov.vn; http://binhphuoc.gov.vn;
DANH SÁCH CHI TIẾT CÁC LÔ ĐẤT ĐẤU GIÁ TẠI THỊ XÃ BÌNH LONG, TỈNH BÌNH PHƯỚC - TỔ CHỨC NGÀY 27/11/2020
![]() |
![]() |
![]() |


