1. Tổ chức đấu giá: Công ty đấu giá hợp danh Dũng Trung Nam.
Địa chỉ: Số 98 Trần Nguyên Đán, phường Đông Xuyên, TP. Long Xuyên, An Giang.
2. Người có tài sản đấu giá: Trung tâm Phát triển quỹ đất huyện Tịnh Biên.
Địa chỉ: Ấp Phú Hòa, xã An Phú, huyện Tịnh Biên, tỉnh An Giang.
3. Tên tài sản, nơi có tài sản đấu giá:
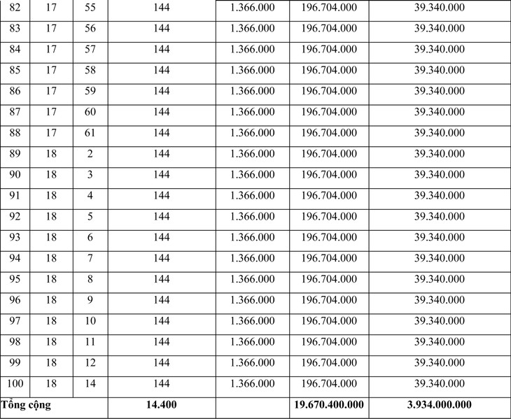
- Tên tài sản: Đấu giá Quyền sử dụng đất 100 nền đất ở thuộc Tuyến dân cư Đông Trà Sư, xã Nhơn Hưng, huyện Tịnh Biên.
- Tổng diện tích đất: 14.400 m2 đất ONT, gồm: 100 nền đất ở có kèm theo danh mục các thửa đất tổ chức đấu giá và bản đồ địa chính bổ sung tỷ lệ 1/1000 được Sở Tài nguyên và Môi trường tỉnh An Giang duyệt ngày 20/11/2014, cụ thể như sau:
![]() |
![]() |
![]() |
![]() |
![]() |
- Vị trí đất: Ấp Trung Bắc Hưng, xã Nhơn Hưng, huyện Tịnh Biên, tỉnh An Giang.
- Hạ tầng kỹ thuật: Có hệ thống cấp điện, cấp nước hoàn chỉnh, tiếp giáp với đường nhựa, nằm trong khu dân cư đông đúc.
- Tài sản gắn liền với các thửa đất đấu giá: Không có.
- Tình trạng tranh chấp, khiếu nại: Không.
- Hình thức giao đất: Đấu giá công khai từng nền, giao đất có thu tiền sử dụng đất thông qua hình thức đấu giá quyền sử dụng đất 100 nền với mỗi nền có diện tích 144 m2.
- Thời hạn sử dụng của các thửa đất: Lâu dài.
4. Thời gian, địa điểm xem tài sản:
- Thời gian xem tài sản: Ngày 18/02/2021 và 19/02/2021 (giờ hành chính).
- Địa điểm xem tài sản: Được thực hiện tại 03 nơi, cụ thể:
+ Công ty đấu giá hợp danh Dũng Trung Nam.
+ Trung tâm Phát triển quỹ đất huyện Tịnh Biên.
+ Nơi có tài sản đấu giá.
5. Thời gian, địa điểm bán và tiếp nhận hồ sơ tham gia đấu giá:
- Thời gian bán và nhận hồ sơ: Từ ngày 26/01/2021 đến 17 giờ ngày 23/02/2021 (giờ hành chính).
- Địa điểm bán và nhận hồ sơ: Được thực hiện tại 02 nơi.
+ Tại Công ty đấu giá hợp danh Dũng Trung Nam; Địa chỉ: Số 98 Trần Nguyên Đán, phường Đông Xuyên, TP. Long Xuyên, tỉnh An Giang.
+ Tại Trung tâm Phát triển quỹ đất huyện Tịnh Biên; Địa chỉ: Ấp Phú Hòa, xã An Phú, huyện Tịnh Biên, tỉnh An Giang.
6. Tiền mua hồ sơ tham gia đấu giá và tiền đặt trước.
- Tiền mua hồ sơ tham gia đấu giá: 100.000 đồng/hồ sơ.
- Tiền đặt trước: 20% GKĐ (Nộp trong thời hạn 03 ngày làm việc trước ngày mở cuộc đấu giá).
7. Đối tượng, điều kiện được tham gia đấu giá:
- Thuộc đối tượng được Nhà nước giao đất, cho thuê đất theo quy định tại Điều 55 và Điều 56 của Luật Đất đai năm 2013.
- Các đối tượng được quy định nêu trên được đăng ký tham gia đấu giá quyền sử dụng đất khi có đủ các điều kiện sau:
+ Có đơn đăng ký tham gia đấu giá quyền sử dụng đất do tổ chức bán đấu giá chuyên nghiệp phát hành, cam kết trả ít nhất bằng giá khởi điểm đã được thông báo, sử dụng đất đúng mục đích, đúng quy hoạch khi trúng đấu giá, hoàn thiện đầy đủ các thủ tục về hồ sơ và nộp tiền đặt trước, phí tham gia đấu giá trong thời hạn quy định.
+ Phải có bản sao chứng minh nhân dân, bản sao hộ khẩu có chứng thực.
+ Có đủ năng lực tài chính.
+ Không vi phạm quy định của pháp luật về đất đai.
+ Phải có đủ năng lực hành vi dân sự theo quy định của pháp luật.
8. Thời gian, địa điểm tổ chức cuộc đấu giá:
Thời gian tổ chức cuộc đấu giá: Bắt đầu từ ngày 26/02/2021, tại Trung tâm Phát triển quỹ đất huyện Tịnh Biên.
- Buổi sáng từ 08 giờ đến 11 giờ.
- Buổi chiều từ 13 giờ đến 17 giờ.
- Đấu giá theo thời gian trên cho đến khi hết các nền có hồ sơ khách hàng đủ điều kiện tham gia đấu giá (kể cả ngày Thứ bảy và Chủ nhật)
Địa điểm tổ chức cuộc đấu giá: Trung tâm Phát triển quỹ đất huyện Tịnh Biên; Ấp Phú Hòa, xã An Phú, huyện Tịnh Biên, tỉnh An Giang.
9. Hình thức đấu giá, phương thức đấu giá.
- Đấu giá trực tiếp bằng lời nói tại cuộc đấu giá, theo phương thức trả giá lên, ai trả giá cao nhất sẽ là người trúng đấu giá.
- Đấu giá viên công bố giá trả cao nhất là người trúng đấu giá.
10. Về bước giá: Người có tài sản đấu giá ấn định bước giá: Tối thiểu 5.000.000đ.
11. Thời gian nộp tiền đặt trước:
- Thời gian nộp: Nộp trong thời hạn 03 ngày làm việc trước ngày mở cuộc đấu giá.
- Nộp vào tài khoản số 1502 1485 199 9999 Tại: Eximbank – Chi nhánh An Giang.
- Đơn vị thụ hưởng: Công ty đấu giá hợp danh Dũng Trung Nam.
Mọi chi tiết xin liên hệ: Công ty đấu giá hợp danh Dũng Trung Nam, tại số 98 Trần Nguyên Đán, phường Đông Xuyên, TP. Long Xuyên, tỉnh An Giang. ĐT 02963.953.061 – 0918.584.898 để biết thêm chi tiết.




