1. Tên, địa chỉ của tổ chức đấu giá: Công ty đấu giá hợp danh Hòa Bình (Địa chỉ: Số nhà 048, đường Quy Hóa, phường Kim Tân, TP. Lào Cai).
2. Tên, địa chỉ người có tài sản đấu giá: Trung tâm Tư vấn và Dịch vụ tài chính tỉnh Lào Cai (Địa chỉ: Trụ sở Khối 10, đường Trần Hưng Đạo, P. Nam Cường, TP Lào Cai).
3. Tài sản đấu giá: Quyền sử dụng đất để giao đất có thu tiền sử dụng đất đối với 88 thửa đất (44 thửa đất đường B10 và 44 đất thửa đường DH12) tại phường Bình Minh, thành phố Lào Cai, chi tiết như sau:
- Vị trí: Đường B10 (Nguyễn Trãi) và đường DH12 (đoạn từ đường M2 đến đường B12), phường Bình Minh, thành phố Lào Cai, tỉnh Lào Cai
- Tổng diện tích: 10.063,1 m²; (Diện tích đã được đo đạc địa chính)
- Mục đích sử dụng đất: Đất ở đô thị.
- Thời hạn sử dụng: Lâu dài.
- Hiện trạng: Mặt bằng sạch, không vướng mắc.
- Hình thức giao đất: Đấu giá quyền sử dụng đất để giao đất có thu tiền sử dụng đất (Đấu giá riêng lẻ).
- Quy hoạch sử dụng đất: Chấp hành nghiêm túc quy hoạch sử dụng đất, quy hoạch, kiến trúc xây dựng, dự án được cấp có thẩm quyền phê duyệt.
- Nguồn gốc các thửa đất: Thuộc quỹ đất công đô thị do tỉnh quản lý.
4. Giá khởi điểm của tài sản, tiền đặt trước, tiền hồ sơ bán hồ sơ:
a. Giá khởi điểm tài sản: Được phê duyệt tại quyết định số 1919/QĐ-UBND ngày 24/6/2020 của UBND tỉnh Lào Cai cụ thể là:
* Các thửa đất đường B10:
- Tổng số: 44 thửa, mỗi thửa có diện tích tích 103,3 m2 đến 147,7 m2. Tổng diện tích 5.366,4 m2 (Diện tích đã được đo đạc địa chính)
- Đơn giá khởi điểm đấu giá: 8.500.000 đồng/m2 – 10.200.000 đồng/ m2 , Giá khởi điểm bình quân mỗi thửa đất : 878.050.000 đồng/ thửa – 1.506.540.000 đồng/ thửa
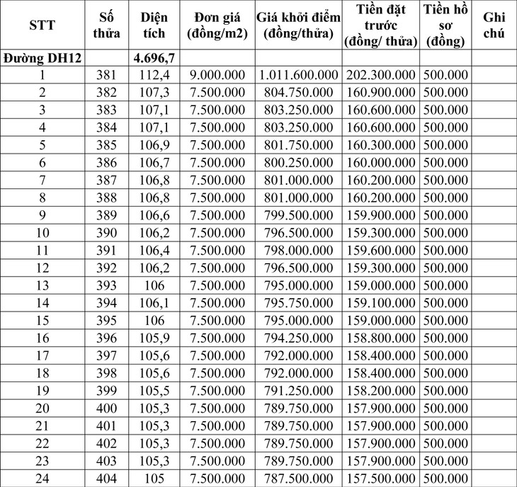
*Các thửa đất đường DH12:
- Tổng số: 44 thửa, mỗi thửa có diện tích tích 103,2 m2 đến 166,8 m2. Tổng diện tích 4.696,7 m2 (Diện tích đã được đo đạc địa chính)
- Đơn giá khởi điểm đấu giá: 7.500.000 đồng/m2 – 9.000.000 đồng/ m2, Giá khởi điểm bình quân mỗi thửa đất: 774.000.000 đồng/ thửa – 1.501.200.000 đồng/ thửa
Giá khởi điểm trên chưa bao gồm lệ phí trước bạ và các khoản lệ phí phải nộp khi làm thủ tục cấp Giấy chứng nhận quyền sử dụng đất.
b. Tiền đặt trước: Bằng 20 % giá khởi điểm của thửa đất.
- Thời gian nộp tiền đặt trước: Trong thời hạn 03 ngày làm việc ( Ngày 20/8 đến ngày 24/8/2020 , theo quy định tại Khoản 2 Điều 39 Luật đấu giá tài sản).
- Hoàn trả tiền đặt trước: Trong thời hạn 03 ngày làm việc kể từ ngày kết thúc cuộc đấu giá
c. Tiền hồ sơ: 500.000 đồng / hồ sơ/ thửa đất
5. Hình thức, phương thức đấu giá:
a. Phương thức đấu giá: Phương thức trả giá lên
b. Hình thức đấu giá: Đấu giá bằng bỏ phiếu gián tiếp.
6. Thời gian, địa điểm tham khảo, bán hồ sơ, đăng ký tham gia đấu giá và tổ chức đấu giá:
- Thời gian cho tham khảo, bán, tiếp nhận hồ sơ đăng ký tham gia đấu giá, nộp phiếu trả giá: Từ ngày 04/8/2020 đến ngày 20/8/2020 (Trong giờ hành chính). Tại Công ty đấu giá hợp danh Hòa Bình ( Số 048, đường Quy Hóa, P. Kim Tân, TP. Lào Cai); Nhận hồ sơ đăng ký tham gia đấu giá qua đường bưu điện, trước 17 giờ 00 phút 20/8/2020 (Trong giờ hành chính)
- Thời gian, địa điểm xem tài sản (trong giờ hành chính): Ngày 10/8 và 11/8/2020 tại nơi có tài sản
- Thời gian, địa điểm tổ chức đấu giá: Từ 08 giờ 30 phút ngày 25/8/2020, Tại hội trường Trung tâm Hội nghị tỉnh Lào Cai (SN 001 đường Trần Nhật Duật, P. Kim Tân, Thành phố Lào Cai- Nhà khách số I cũ)
7. Điều kiện đăng ký tham gia đấu giá: Hộ gia đình, cá nhân thuộc đối tượng được Nhà nước giao đất có thu tiền sử dụng đất quy định tại Điều 55 của Luật Đất đai 2013 có nhu cầu sử dụng đất để làm nhà ở theo quy hoạch đã được cơ quan nhà nước có thẩm quyền phê duyệt và theo quy định tại Điều 38 Luật đấu giá tài sản năm 2016.
Mọi chi tiết, xin liên hệ theo số ĐT: 0214 3.840.683 - 02143.821.189 (Trong giờ hành chính).
BẢNG BIỂU 01: BẢNG GIÁ 88 THỬA ĐẤT TẠI P BÌNH MINH
![]() |
![]() |
![]() |
![]() |



