Ngày 24/12/2020, đấu giá lô hàng bán thành phẩm tại tỉnh Bình Dương

(BĐT) - Trung tâm Dịch vụ đấu giá tài sản tỉnh Bình Dương thông báo đấu giá tài sản vào ngày 24/12/2020 do Cục Kiểm tra sau thông quan- Tổng cục Hải Quan ủy quyền như sau:

Tên, địa chỉ tổ chức đấu giá: Trung tâm Dịch vụ đấu giá tài sản tỉnh Bình Dương - Sở Tư pháp tỉnh Bình Dương; Địa chỉ: 469 Đại Lộ Bình Dương, phường Phú Cường, thành phố Thủ Dầu Một, tỉnh Bình Dương.

Tên, địa chỉ đơn vị có tài sản đấu giá: Cục Kiểm tra sau thông quan- Tổng cục Hải Quan. Địa chỉ: Số 9 phố Dương Đình Nghệ, Phường Yên Hòa, Quận Cầu Giấy, Thành phố Hà Nội.

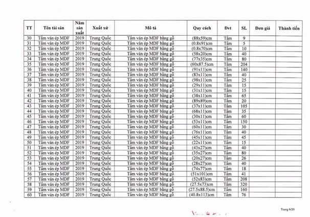
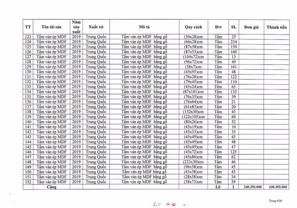
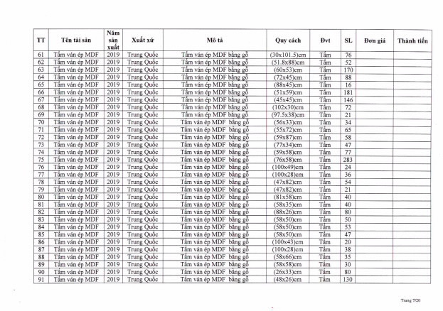
Tài sản đấu giá: 01 lô hàng bán thành phẩm của tủ dùng trong nhà bếp, tấm ván MDF, đai ốc đã ren, chốt đai sắt, bản lề bằng sắt, thanh trượt bằng sắt, mâm xoay bằng sắt, dây đai nhựa PP, dây đai sắt, keo trắng, mút xốp, băng keo, thùng giấy, màng PE (Theo danh sách đính kèm).

*Giá khởi điểm: 760.269.000 đồng (Bảy trăm sáu mươi triệu, hai trăm sáu mươi chín ngàn đồng).

Lưu ý: Giá khởi điểm trên chưa bao gồm thuế giá trị gia tăng (VAT). Người mua trúng đấu giá tự chịu trách nhiệm nộp tất cả các khoản thuế, phí và lệ phí (Nếu có)

*Ghi chú: Khách hàng xem tài sản và đăng ký tham gia đấu giá theo đúng nội quy, quy chế của Trung tâm.

- Thời gian bán hồ sơ và đăng ký tham gia đấu giá tài sản: Từ khi ra thông báo đến 15 giờ 00 phút ngày 21/12/2020.

- Tiền hồ sơ tham gia đấu giá: 500.000 đồng/hồ sơ.

- Thời gian đăng ký xem tài sản: Từ ngày 15/12/2020 đến ngày 16/12/2020 tại trụ sở Trung Tâm.

- Thời gian xem tài sản: Từ 08 giờ 00 phút ngày 17/12/2020 đến 15 giờ 00 phút ngày 18/12/2020.

- Địa điểm xem tài sản: Tại Công ty Cổ phần ICD Tân Cảng Sóng Thần (Địa chỉ: Số 7/20 Đường ĐT 743, Khu phố Bình Đáng, Phường Bình Hòa, Thành phố Thuận an, tỉnh Bình Dương)

- Thời gian nộp tiền đặt trước: Từ 08 giờ 00 phút ngày 18/12/2020 đến 15 giờ 00 phút ngày 22/12/2020.(Khách hàng có thể tự nguyện nộp tiền đặt trước kể từ khi ra thông báo).

- Tiền đặt trước khi tham gia đấu giá: 20% so với giá khởi điểm ≈ 152.053.000 đồng (Một trăm năm mươi hai triệu, không trăm năm mươi ba ngàn đồng).

- Thời điểm đấu giá: 09 giờ 30 phút ngày 24/12/2020.

- Hình thức đấu giá: Đấu giá bằng bỏ phiếu gián tiếp.

- Phương thức đấu giá: Phương thức trả giá lên.

- Điều kiện, cách thức đăng ký tham gia đấu giá: Cá nhân, Tổ chức, doanh nghiệp đăng ký tham gia đấu giá thông qua việc nộp hồ sơ tham gia đấu giá hợp lệ và tiền đặt trước cho Trung tâm DVĐGTS tỉnh Bình Dương trong thời gian quy định.

- Địa điểm bán hồ sơ, đăng ký tham gia đấu giá và tổ chức đấu giá tài sản: Trung tâm Dịch vụ đấu giá tài sản tỉnh Bình Dương - Sở Tư pháp tỉnh Bình Dương.

- Mọi chi tiết xin liên hệ: Trung tâm Dịch vụ đấu giá tài sản tỉnh Bình Dương - Sở Tư pháp tỉnh Bình Dương– ĐT: 0274.3859653 (hoặc 0909809898 – Minh).

Kết nối đầu tư