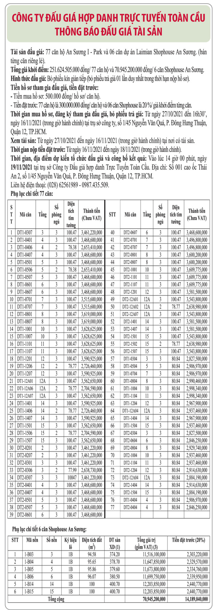
Ngày 19/11/2021, đấu giá 77 căn hộ An Sương 1-Park và 6 căn Laimian Shophouse An Sương tại Quận 12, TP.HCM

(BĐT) - Công ty Đấu giá hợp danh trực tuyến Toàn Cầu thông báo đấu giá tài sản vào ngày 19/11/2021 như sau:

Kết nối đầu tư