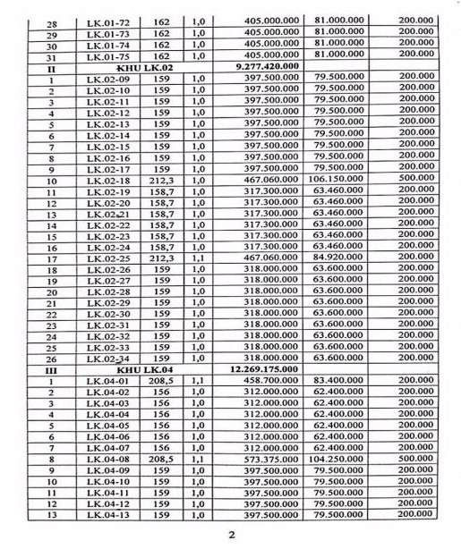
Ngày 12/7/2019, đấu giá quyền sử dụng đất tại huyện Krông Búk, tỉnh Đăk Lăk

(BĐT) - Trung tâm Dịch vụ đấu giá tài sản tỉnh Đăk Lăk thông báo bán đấu giá tài sản vào ngày 12/7/2019 do Phòng Tài chính Kế hoạch huyện Krông Búk ủy quyền như sau:

Kết nối đầu tư