V/v đấu giá quyền sử dụng đất đối với 27 lô đất tại khu quy hoạch suối Hội Phú (đoạn từ đường Nguyễn Tri Phương đến đường Nguyễn Trung Trực), phường Hội Phú, thành phố Pleiku, tỉnh Gia Lai
Thực hiện Hợp đồng dịch vụ đấu giá quyền sử dụng đất số: 200/2020/HĐDVĐGTS, ngày 19/11/2020 giữa Trung tâm Phát triển quỹ đất thành phố Pleiku và Doanh nghiệp Đấu giá tư nhân Đại Phát về việc đấu giá quyền sử dụng đất đối với 27 lô đất tại khu quy hoạch suối Hội Phú (đoạn từ đường Nguyễn Tri Phương đến đường Nguyễn Trung Trực), phường Hội Phú, thành phố Pleiku, tỉnh Gia Lai.
I. Thông tin về tài sản đấu giá:
1. Đơn vị có tài sản đấu giá: Ủy ban nhân dân thành phố Pleiku. Địa chỉ: 81 Hùng Vương, thành phố Pleiku, tỉnh Gia Lai.
2. Đơn vị được giao xử lý đấu giá quyền sử dụng đất, quyền thuê đất: Trung tâm Phát triển quỹ đất thành phố Pleiku. Địa chỉ: 59 Đinh Tiên Hoàng, thành phố Pleiku, tỉnh Gia Lai.
3. Đơn vị thực hiện đấu giá quyền sử dụng đất, quyền thuê đất: Doanh nghiệp Đấu giá tư nhân Đại Phát. Địa chỉ: 239A Duy Tân, phường Diên Hồng, thành phố Pleiku, tỉnh Gia Lai. Số điện thoại: 02693 887 339.
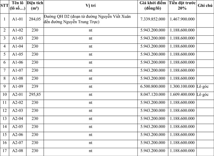
4. Thông tin về lô đất bán đấu giá quyền sử dụng đất: Tổng số lô đất đưa ra Đấu giá: 27 lô.
4.1. Vị trí: Khu quy hoạch suối Hội Phú (đoạn từ đường Nguyễn Tri Phương đến đường Nguyễn Trung Trực), phường Hội Phú, thành phố Pleiku, tỉnh Gia Lai, cụ thể:
+ Phía Bắc: Giáp đường quy hoạch.
+ Phía Nam: Giáp đất quy hoạch.
+ Phía Đông: Giáp khu dân cư hiện trạng.
+ Phía Tây: Giáp đường QH D2.
4.2. Diện tích khu đất: Tổng diện tích 6.511,50 m2.
4.3 Mục đích, hình thức, thời hạn sử dụng đất: Đất ở. Sử dụng lâu dài
4.3.1. Đối với phần đất ở quy hoạch:
- Mục đích sử dụng: Đất ở .
- Hình thức giao đất: Nhà nước giao đất có thu tiền sử dụng đất thông qua hình thức đấu giá quyền sử dụng đất.
5. Giá khởi điểm: 169.431.996.000 đồng. (Bằng chữ: Một trăm sáu mươi chín tỷ, bốn trăm ba mươi mốt triệu, chín trăm chín mươi sáu ngàn đồng).
6. Phí tham gia đấu giá (mua hồ sơ tham gia đấu giá), Tiền đặt trước:
- Tiền phí tham gia Đấu giá: 500.000 đồng/hồ sơ/lô đất.
- Tiền đặt trước: 20% (Hai mươi phần trăm) giá khởi điểm của từng lô đất.
II. Thông tin về thời gian, địa điểm cuộc đấu giá:
1. Thời gian, địa điểm xem tài sản đấu giá: Từ ngày 20/11/2020 đến 11 giờ ngày 04/12/2020 tại Khu quy hoạch suối Hội Phú (đoạn từ đường Nguyễn Tri Phương đến đường Nguyễn Trung Trực), phường Hội Phú, thành phố Pleiku, tỉnh Gia Lai.
2. Thời gian, địa điểm mua, nhận hồ sơ đăng ký tham gia đấu giá:
- Thời gian mua hồ sơ: Từ ngày niêm yết việc đấu giá tài sản đến trước 11h 00’ ngày 07/12/2020 (trong giờ hành chính). Địa điểm mua: Tại Doanh nghiệp Đấu giá tư nhân Đại Phát, số 239A Duy Tân, Phường Diên Hồng.
- Địa điểm nộp hồ sơ: Tại Trung tâm Phát triển quỹ đất, số 59 Đinh Tiên Hoàng, phường Diên Hồng: Từ ngày 07/12/2020 đến trước 15h 00’ ngày 09/12/2020 (trong giờ hành chính).
3. Thời gian nộp tiền đặt trước: Ngày 07/12/2020 đến trước 11h ngày 09/12/2020. Nộp vào tài khoản của Doanh nghiệp Đấu giá tư nhân Đại Phát, số tài khoản 119002866956 tại Ngân hàng VIETINBANK - CN Gia Lai (trong giờ hành chính).
4. Thời gian tổ chức đấu giá (dự kiến): Lúc 08 giờ 00 phút, ngày 10/12/2020.
5. Địa điểm đấu giá (dự kiến): UBND thành phố Pleiku. Địa chỉ: Số 81 Hùng Vương, P. Tây Sơn, TP. Pleiku, tỉnh Gia Lai.
III. Điều kiện, cách thức đăng ký tham gia đấu giá, hình thức đấu giá, phương thức đấu giá:
1. Đối tượng tham gia đấu giá: Tổ chức, hộ gia đình thuộc đối tượng được nhà nước giao đất có thu tiền sử dụng đất theo quy định tại điều 55 luật Đất Đai năm 2013. (Trừ những Đối tượng không được tham gia Đấu giá QSDĐ)
2. Điều kiện đăng ký tham gia đấu giá:
- Thuộc đối tượng tham gia đấu giá.
- Đảm bảo đủ các điều kiện theo phương án đấu giá được phê duyệt.
- Chấp nhận các điều kiện, nội dung được quy định trong Quy chế cuộc đấu giá do Doanh nghiệp đấu giá tư nhân Đại Phát ban hành. Cam kết thực hiện đầy đủ những quy định của Pháp luật về đấu giá quyền sử dụng đất và phương án đấu giá được duyệt.
- Chấp nhận giá khởi điểm.
- Nộp đủ hồ sơ, phí tham gia đấu giá và số tiền đặt trước theo đúng thời gian quy định (thành phần hồ sơ đăng ký tham gia đấu giá thể hiện trong Quy chế cuộc đấu giá do Doanh nghiệp đấu giá tư nhân Đại Phát ban hành).
3. Hình thức đấu giá: Kết hợp hai hình thức đấu giá bằng bỏ phiếu gián tiếp và đấu giá trực tiếp tại cuộc đấu giá.
4. Phương thức đấu giá: Phương thức trả giá lên.
Mọi chi tiết xin liên hệ: Doanh nghiệp Đấu giá tư nhân Đại Phát. Địa chỉ: Số 239A Duy Tân, Phường Diên Hồng, thành phố Pleiku, tỉnh Gia Lai (ĐT: 02693.887.339) hoặc Trung tâm Phát triển quỹ đất thành phố Pleiku. Địa chỉ: Số 59 Đinh Tiên Hoàng, thành phố Pleiku, tỉnh Gia Lai.
Trân trọng thông báo đến các tổ chức trong và ngoài tỉnh có nhu cầu biết để đăng ký tham gia./.
DANH SÁCH CÁC LÔ ĐẤT ĐẤU GIÁ
![]() |
![]() |

