Ngày 24/12/2019, đấu giá quyền sử dụng đất tại huyện Chư Sê, tỉnh Gia Lai

(BĐT) - Trung tâm dịch vụ bán đấu giá tài sản tỉnh Gia Lai thông báo bán đấu giá tài sản vào ngày 24/12/2019 do Phòng Tài chính – Kế hoạch huyện Chư Sê, tỉnh Gia Lai ủy quyền như sau:

1- Tổ chức đấu giá tài sản: Trung tâm dịch vụ bán đấu giá tài sản Gia Lai.

2- Bên có tài sản đấu giá: Phòng Tài chính – Kế hoạch huyện Chư Sê, tỉnh Gia Lai.

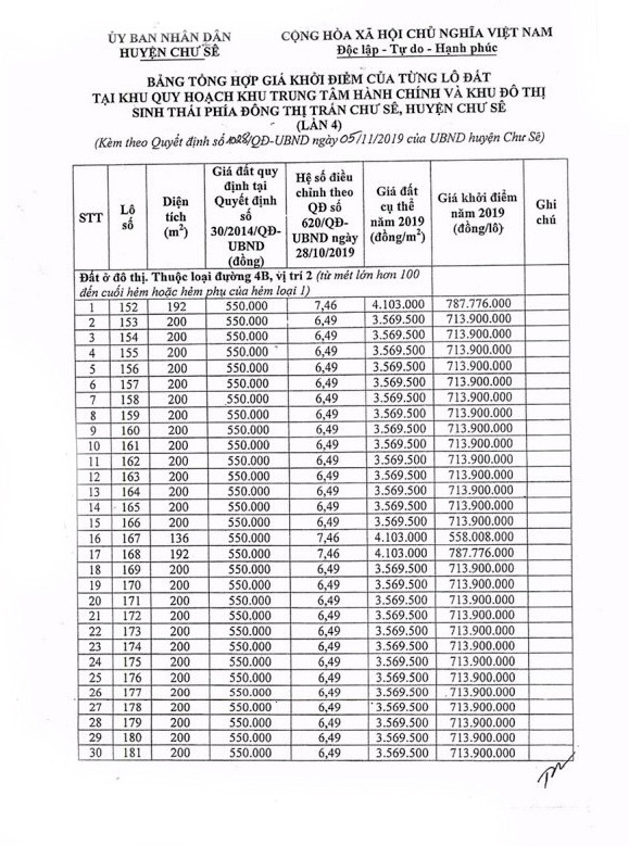
3- Tài sản đấu giá: Đấu giá quyền sử dụng đất tại khu quy hoạch Khu Trung tâm hành chính và Khu đô thị sinh thái phía Đông thị trấn Chư Sê (lần 4); Chi tiết theo Phụ lục.

- Địa điểm: Thôn Dun Bêu (Tân Lập cũ), thị trấn Chư Sê, huyện Chư Sê.

 - Tổng số lô:   61 lô; Tổng diện tích: 12.236,9 m2.

 - Hình thức đấu giá: Đấu giá trả tiền một lần.

 - Mục đích sử dụng: Đất ở đô thị; Thời hạn sử dụng: Lâu dài.

 - Tổng giá khởi điểm: 44.552.900.700 đồng (Bốn mươi bốn tỷ, năm trăm năm mươi hai triệu, chín trăm ngàn, bảy trăm đồng).

4- Địa điểm, thời hạn trưng bày tài sản đấu giá: Xem thực tế tại nơi có lô đất Từ ngày niêm yết thông báo đến 15 giờ 00 phút ngày 19/12/2019.

5- Địa điểm, thời hạn tham khảo hồ sơ tài sản đấu giá: Tại Phòng Tài chính - Kế hoạch huyện Chư Sê từ ngày niêm yết thông báo đến 15 giờ 00 phút ngày 19/12/2019.

6- Tiền mua hồ sơ tham gia đấu giá: 500.000 đồng/hồ sơ (trả bằng tiền mặt khi nộp hồ sơ). Tiền đặt trước tương đương 10% giá khởi điểm, nộp trong vòng 03 ngày làm việc trước ngày mở cuộc đấu giá (trừ trường hợp khách hàng có thoả thuận được nộp trước) vào tài khoản Trung tâm dịch vụ bán đấu giá tài sản Gia Lai số: 07410 1650 2074 tại Ngân hàng TMCP An Bình CN Gia Lai (Địa chỉ: 93-95B Đinh Tiên Hoàng, Tp. Pleiku).

7- Thời gian, địa điểm, điều kiện, cách thức đăng ký tham gia đấu giá: Từ ngày niêm yết thông báo đến 15 giờ 00 phút ngày 19/12/2019 tại Phòng Tài chính - Kế hoạch huyện Chư Sê và Trung tâm dịch vụ bán đấu giá tài sản Gia Lai; Điều kiện: Khách hàng đăng ký tham đấu giá phải nộp đơn đăng ký, tiền mua hồ sơ, tiền đặt trước theo quy định; Khách hàng đăng ký tham gia đấu giá nộp hồ sơ cho Trung tâm.

8- Thời gian, địa điểm dự kiến đấu giá: 13 giờ 30’ ngày 24/12/2019, tại Phòng Tài chính – Kế hoạch Chư Sê.

9- Hình thức đấu giá trực tiếp bằng lời nói tại cuộc đấu giá. Phương thức trả giá lên.

10- Đối tượng tham gia đấu giá: Bao gồm tất cả các tổ chức, cá nhân theo quy định của pháp luật có nhu cầu đấu giá, sử dụng đất đúng mục đích theo phương án được phê duyệt.

11- Nộp tiền trúng đấu giá: Người trúng đấu giá phải nộp đủ số tiền trúng đấu giá (một lần) trong thời hạn 15 ngày kể từ ngày tổ chức đấu giá.

Mọi chi tiết liên hệ: Trung tâm dịch vụ bán đấu giá tài sản Gia Lai (tại số 46 - Lê Thánh Tôn, thành phố Pleiku), số điện thoại 02693 826628 hoặc Phòng Tài chính -Kế hoạch huyện Chư Sê.

Lưu ý: Khách hàng đến đăng ký đấu giá phải mang CMND và sổ hộ khẩu (đối với cá nhân). Đối với pháp nhân phải có giấy đăng ký kinh doanh (bản chính để đối chiếu).

Kết nối đầu tư