|
| Ảnh chỉ mang tính minh họa. Nguồn Internet |
Công ty Đấu giá hợp danh Việt Nam vừa phát ra thông báo đấu giá quyền sử dụng 57 thửa đất tại khu vực Đầm, thôn Mục Xá, xã Cao Dương, huyện Thanh Oai, TP. Hà Nội (đợt 1). Hình thức đấu giá từng thửa đất bằng việc bỏ phiếu kín trực tiếp 1 lần tại cuộc đấu giá. Thời gian tổ chức phiên đấu giá dự kiến vào 8 giờ 30 phút ngày 8/9 tại Nhà thi đấu huyện Thanh Oai.
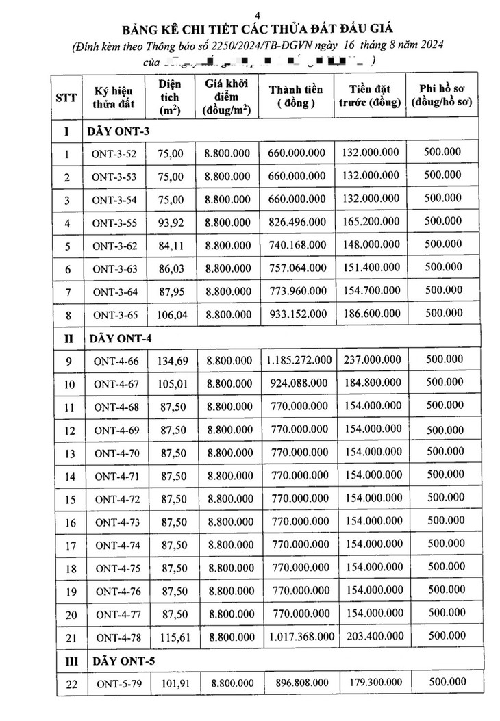
Các thửa đất có diện tích từ 74,63 - 134,69 m2. Đáng chú ý, giá khởi điểm các lô đất đã tăng lên so với mức cũ từ 7,3 triệu đồng/m2 lên thành 8,8 triệu đồng/m2, tương đương từ 660 triệu đồng đến gần 1,2 tỷ đồng/thửa. Mức giá khởi điểm thấp là nguyên nhân chính khiến phiên đấu giá phải hủy trước đó để xác định lại mức giá mới.
![]() |
| Giá khởi điểm đã thay đổi từ mức 7,3 triệu đồng/m2 lên 8,8 triệu đồng/m2 |
Khách hàng tham gia đấu giá sẽ đặt cọc số tiền 20% so với giá khởi điểm, tương ứng 131,3 - 237 triệu đồng, tùy các thửa khác nhau.
Theo Giám đốc Trung tâm Phát triển quỹ đất huyện Thanh Oai Nguyễn Công Quảng cho biết, Trung tâm đã có thông báo dừng phiên đấu giá quyền sử dụng 57 thửa đất tại khu vực Đầm, thôn Mục Xá, xã Cao Dương, huyện Thanh Oai (ngày 17/8) và hủy quyền tổ chức của Công ty Đấu giá hợp danh Trường Sơn theo đúng quy định.
Lý giải về việc dừng đấu giá, thay đổi đơn vị tổ chức đấu giá, thay đổi giá khởi điểm, ông Nguyễn Công Quảng cho hay, phiên đấu giá ngày 17/8 được tạm dừng để xác định lại giá khởi điểm theo hệ số K là 2,35 (hệ số K cũ là 2) theo Quyết định số 46/2024/QĐ-UBND của UBND TP. Hà Nội về việc ban hành hệ số điều chỉnh giá đất năm 2024 theo quy định của pháp luật, có hiệu lực từ ngày 29/7. Nhưng Hà Nội vẫn áp dụng bảng giá đất cũ đến hết năm 2025 nên việc xác định giá khởi điểm tại phiên đấu giá mới cũng không cao hơn quá nhiều.
Theo kế hoạch, dự kiến từ nay cho đến cuối năm 2024, huyện Thanh Oai sẽ tổ chức 5 phiên đấu giá đất tại 3 khu đất trên địa bàn huyện, với tổng diện tích gần 9 ha. Cụ thể gồm: khu Mang Cá (xã Đỗ Động) 4 ha; khu Mục Xá (xã Cao Dương) 1,9 ha; khu Cưng Trong (xã Tam Hưng) 3 ha.
Trước đó, cuộc đấu giá 57 lô đất trên dự định được tổ chức vào ngày 17/8 với giá khởi điểm từ 8,097 triệu đồng/m2. Tuy nhiên, trước phiên đấu giá này, đơn vị tổ chức là Công ty Đấu giá hợp danh Trường Sơn đã thông báo hoãn và trả lại tiền đặt cọc cho khách hàng.
Theo thông tin từ Công ty Đấu giá hợp danh Trường Sơn, đơn vị này có nhận thông báo của Trung tâm Phát triển quỹ đất huyện Thanh Oai với nội dung "dừng triển khai tổ chức phiên đấu giá quyền sử dụng đất đợt 1 đối với 57 thửa đất tại khu vực Đầm, thôn Mục Xá, xã Cao Dương, huyện Thanh Oai, TP. Hà Nội".
Lý do bởi UBND huyện Thanh Oai xác định lại mức giá khởi điểm để đấu giá quyền sử dụng đất đối với 114 thửa đất trên địa bàn xã Cao Dương theo quyết định của UBND TP. Hà Nội.
