Ngày 5/12/2019, đấu giá vật tư thu hồi tại Trường Tiểu học Xương Huân 1 (tỉnh Khánh Hòa)

(BĐT) - Trung tâm Dịch vụ đấu giá tỉnh Khánh Hòa thông báo bán đấu giá tài sản vào ngày 5/12/2019 do Ban QLDA các CTXD Nha Trang ủy quyền như sau:

1. Tổ chức đấu giá tài sản: Trung tâm Dịch vụ đấu giá tỉnh Khánh Hòa. Địa chỉ: Số 77 đường 23/10, phường Phương Sơn, Tp. Nha Trang, tỉnh Khánh Hòa.

2. Người có tài sản đấu giá: Ban QLDA các CTXD Nha Trang. Địa chỉ: Số 139 Thống Nhất, phường Vạn Thắng, thành phố Nha Trang, tỉnh Khánh Hòa.

3. Tài sản đấu giá và giá khởi điểm:

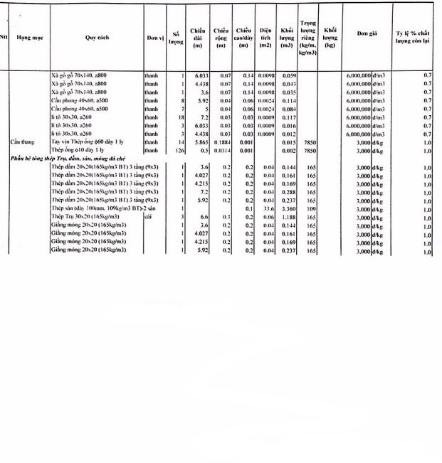
3.1. Tài sản đấu giá: Vật tư thu hồi Trường Tiểu học Xương Huân 1 (điểm 02 Phạm Ngũ Lão). (Có bản kê chi tiết tài sản đấu giá kèm theo)

3.2. Giá khởi điểm: 107.425.000 đồng (Bằng chữ: Một trăm lẻ bảy triệu, bốn trăm hai mươi lăm ngàn đồng). Giá trên không bao gồm thuế giá trị gia tăng (VAT).

Tài sản được bán theo hiện trạng và bàn giao tại nơi có tài sản. Người mua được tài sản bán đấu giá phải chịu chi phí vận chuyển, các chi phí liên quan và chịu các khoản thuế, phí, lệ phí theo quy định (nếu có).

4. Thời gian, địa điểm xem tài sản đấu giá: Từ ngày 28/11/2019 đến ngày 29/11/2019 (trong giờ hành chính), tại Ban QLDA các CTXD Nha Trang.

5. Thời gian, địa điểm bán hồ sơ tham gia đấu giá: Từ 08 giờ 00 phút ngày 22/11/2019 đến 16 giờ 00 phút ngày 02/12/2019 (trong giờ hành chính), tại Trung tâm Dịch vụ Đấu giá tài sản tỉnh Khánh Hòa.

6. Tiền mua hồ sơ tham gia đấu giá, tiền đặt trước:

- Tiền mua hồ sơ tham gia đấu giá: 200.000 đồng / 1 hồ sơ.

- Tiền đặt trước: 20.000.000 đồng/ 1 hồ sơ.

7. Thời gian, địa điểm, điều kiện, cách thức đăng ký tham gia đấu giá:

7.1. Điều kiện, cách thức đăng ký tham gia đấu giá: Trong thời hạn mà Trung tâm Dịch vụ Đấu giá tài sản tỉnh Khánh Hòa đã thông báo, người tham gia đấu giá liên hệ với Trung tâm để mua hồ sơ, nộp hồ sơ đăng ký tham gia đấu giá hợp lệ và tiền đặt trước theo quy định.

7.2. Thời gian, địa điểm nộp hồ sơ tham gia đấu giá: Từ 08 giờ 00 phút ngày 22/11/2019 đến 16 giờ 00 phút ngày 02/12/2019 (trong giờ hành chính), tại Trung tâm Dịch vụ Đấu giá tài sản tỉnh Khánh Hòa.

7.3. Thời gian nộp tiền đặt trước: Ngày 02/12/2019, 03/12/2019 và 04/12/2019. Trung tâm chỉ thu tiền đặt trước của người tham gia đấu giá trong thời hạn đã thông báo, trừ trường hợp người tham gia đấu giá tự nguyện nộp trước thời gian đã thông báo. Số tiền đặt trước phải được xác định có trong tài khoản của Trung tâm, hạn chót đến ngày 04/12/2019.

7.4. Người tham gia đấu giá nộp tiền đặt trước vào tài khoản sau:

Tên tài khoản: Trung tâm Dịch vụ Đấu giá tài sản tỉnh Khánh Hòa.

Số tài khoản: 4700211.000135 tại Ngân hàng Nông nghiệp và Phát triển Nông thôn tỉnh Khánh Hòa.

7.5. Hồ sơ đăng ký tham gia đấu giá gồm có :

+ Đơn đăng ký tham gia đấu giá (theo mẫu của Trung tâm);

+ Chứng minh nhân dân/Thẻ Căn cước công dân hoặc Hộ chiếu của người đăng ký (nộp bản sao có chứng thực hoặc bản sao kèm bản chính để đối chiếu);

+ Giấy chứng nhận đăng ký doanh nghiệp, Giấy phép kinh doanh hoặc quyết định thành lập (đối với cơ quan, tổ chức) (nộp bản sao có chứng thực hoặc bản sao kèm bản chính để đối chiếu);

+ Giấy ủy quyền có xác nhận của người hoặc cơ quan có thẩm quyền theo quy định pháp luật (nếu có).

8. Thời gian, địa điểm tổ chức cuộc đấu giá: 09 giờ 30 phút, ngày 05/12/2019 tại Trung tâm Dịch vụ Đấu giá tài sản tỉnh Khánh Hòa. Địa chỉ: Số 77 đường 23/10, phường Phương Sơn, Tp. Nha Trang, tỉnh Khánh Hòa.

9. Phương thức đấu giá, hình thức đấu giá:

- Phương thức đấu giá: Phương thức trả giá lên.

- Hình thức đấu giá: Đấu giá trực tiếp bằng lời nói tại cuộc đấu giá.

10. Những thông tin cần thiết khác:

10.1. Trường hợp trúng đấu giá thì khoản tiền đặt trước của người tham gia đấu giá được chuyển thành tiền đặt cọc để bảo đảm thực hiện giao kết hoặc thực hiện Hợp đồng mua bán tài sản đấu giá. Trong thời hạn 05 ngày làm việc, kể từ ngày ký Hợp đồng mua bán tài sản đấu giá, người mua được tài sản đấu giá có trách nhiệm thanh toán tiền mua tài sản cho Ban QLDA các CTXD Nha Trang theo quy định tại khoản 7 Điều 24 của Nghị định số 151/2017/NĐ-CP ngày 26/12/2017 của Chính phủ quy định chi tiết một số điều của Luật Quản lý, sử dụng tài sản công. Trường hợp quá thời hạn trên mà người mua được tài sản đấu giá chưa thanh toán đủ số tiền mua tài sản thì người mua được tài sản đấu giá phải nộp khoản tiền chậm nộp theo quy định của pháp luật về quản lý thuế.

10.2. Ngoài việc thanh toán số tiền trúng đấu giá theo Hợp đồng mua bán tài sản đấu giá, người mua được tài sản đấu giá đồng thời phải nộp (bằng tiền mặt hoặc thư bảo lãnh của ngân hàng) thêm kinh phí bảo đảm dọn dẹp vận chuyển xà bần ra khỏi công trình số tiền là 57.652.000 đồng (Bằng chữ: Năm mươi bảy triệu, sáu trăm năm mươi hai ngàn đồng) cho Ban QLDA các CTXD Nha Trang để đảm bảo sau khi phá dỡ sẽ thực hiện việc dọn dẹp xà bần để bàn giao mặt bằng đất trống cho Ban QLDA các CTXD Nha Trang trong vòng 20 ngày kể từ ngày ký biên bản bàn giao tài sản. Sau khi người mua được tài sản đấu giá và Ban QLDA các CTXD Nha Trang ký biên bản bàn giao mặt bằng đất trống, Ban QLDA các CTXD Nha Trang sẽ hoàn trả lại số tiền nói trên. Trường hợp người mua được tài sản đấu giá không thực hiện việc dọn dẹp xà bần để bàn giao mặt bằng đất trống, Ban QLDA các CTXD Nha Trang sẽ dùng số tiền nói trên để thuê đơn vị có chức năng thực hiện.

Cá nhân, tổ chức có nhu cầu vui lòng liên hệ Trung tâm Dịch vụ Đấu giá tài sản tỉnh Khánh Hoà – 77 đường 23 tháng 10, phường Phương Sơn, thành phố Nha Trang, tỉnh Khánh Hoà. Điện thoại (0258) 3829213./.

Kết nối đầu tư