Ngày 28/12/2019, đấu giá quyền sử dụng đất tại thị xã Ba Đồn, tỉnh Quảng Bình

(BĐT) - Công ty Đấu giá hợp danh Tài sản Toàn Cầu thông báo bán đấu giá tài sản vào ngày 28/12/2019 do Ban Quản lý dự án ĐTXD và PTQĐ thị xã Ba Đồn ủy quyền như sau:

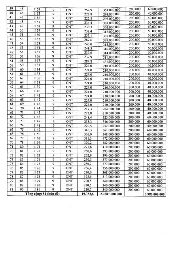
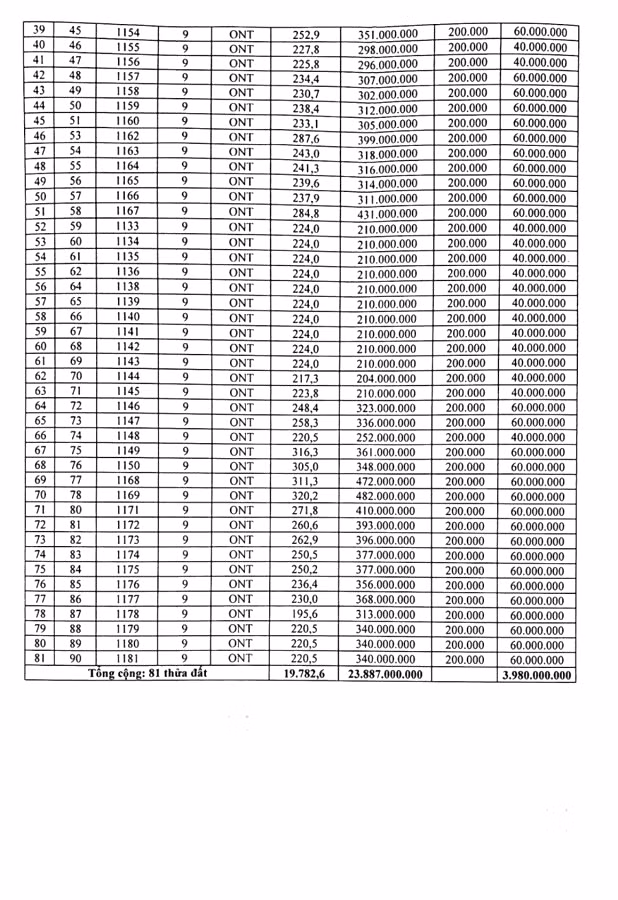
1. Tên tài sản đấu giá: Quyền sử dụng 81 thửa đất ở thuộc Dự án: Quy hoạch chợ và khu dân cư thôn Vĩnh Phước Đông, xã Quảng Lộc, thị xã Ba Đồn, tỉnh Quảng Bình.

- Số lượng thửa đất: 81 thửa đất.

- Tổng diện tích 81 thửa đất: 19.782,6 m2.

- Mục đích sử dụng đất: Đất ở nông thôn (ONT)

- Hình thức giao đất: Nhà nước giao đất có thu tiền sử dụng đất.

-Thời hạn sử dụng đất: Lâu dài. (Có phụ lục chi tiết kèm theo)

Tài sản được bán theo hiện trạng và theo phương thức đấu giá công khai.

2. Đại diện đơn vị có quyền đưa tài sản ra đấu giá: Ban Quản lý dự án đầu tư xây dựng và phát triển quỹ đất thị xã Ba Đồn. Địa chỉ: Số 21, đường Lý Thường Kiệt, phường Ba Đồn, thị xã Ba Đồn, tỉnh Quảng Bình.

3. Tổng giá khởi điểm 81 thửa đất: 23.887.000.000 đồng (Bằng chữ: Hai mươi ba tỷ, tám trăm tám mươi bảy triệu đồng).

Giá khởi điểm trên chưa bao gồm lệ phí trước bạ, phí, lệ phí và các chi phí khác phục vụ cho việc kê khai đăng ký quyền sử dụng và cấp giấy chứng nhận quyền sử dụng đất theo quy định hiện hành của nhà nước.

4. Tiền mua hồ sơ tham gia đấu giá: 200.000 đồng/hồ sơ.

5. Tiền đặt trước:

-Đối với các thửa đất có giá khởi điểm từ 204.000.000 đồng đến dưới 300.000.000 đồng thì tiền đặt trước là 40.000.000 đồng.

-Đối với các thửa đất có giá khởi điểm từ 300.000.000 đồng đến 482.000.000 đồng thì tiền đặt trước là 60.000.000 đồng.

6. Thời gian, địa điểm mua hồ sơ: Từ ngày 05/12/2019 đến 16h30 ngày 25/12/2019 (trong giờ hành chính) tại trụ sở UBND xã Quảng Lộc, thị xã Ba Đồn, tỉnh Quảng Bình.

7. Tài sản được đăng: Trên báo Quảng Bình ngày 05/12/2019 và ngày 10/12/2019.

8. Thời gian, địa điểm xem tài sản: Từ ngày 16/12/2019 đến ngày 20/12/2019 (trong giờ hành chính), tại xã Quảng Lộc, thị xã Ba Đồn, tỉnh Quảng Bình.

9. Hình thức đấu giá, phương thức đấu giá và bước giá:

- Đấu giá bằng bỏ phiếu gián tiếp (Bỏ phiếu trả giá 01 lần duy nhất trong thời hạn nộp hồ sơ);

- Theo phương thức trả giá lên (bằng hoặc cao hơn giá khởi điểm);

- Bước giá tối thiểu 5.000.000 đồng/01 lần trả giá, tối đa không hạn chế (áp dụng cho trường hợp một thửa đất có 2 người trở lên cùng trả giá cao nhất và bằng nhau).

10. Đối tượng, điều kiện và cách thức thực hiện thủ tục đấu giá:

- Đối tượng tham gia đấu giá: Hộ gia đình, cá nhân thuộc đối tượng Nhà nước giao đất có thu tiền sử dụng đất hoặc cho thuê đất theo đối tượng quy định của Luật đất đai, có nhu cầu sử dụng đất để làm nhà ở theo quy hoạch đã được cơ quan Nhà nước có thểm quyền phê duyệt, chấp hành tốt pháp luật đất đai và Quyết định phê duyệt Phương án này. Mục đích, ranh giới sử dụng đất sau khi trúng đấu giá được thực hiện theo quy hoạch chi tiết phân lô đất ở, trích đo chỉnh lý địa chính được cấp có thẩm quyền phê duyệt.

- Điều kiện đăng ký tham gia đấu giá: Các đối tượng quy định tại điểm trên, mục nay được đăng ký tham gia đấu giá quyền sử dụng đất khi có đủ các điều kiện sau:

+ Có đơn xin tham gia đấu giá quyền sử dụng đất, cam kết trả ít nhất bằng giá khởi điểm đã được thông báo, sử dụng đất đúng mục đích, đúng quy hoạch khi trúng đấu giá, hoàn thiện đầy đủ các thủ tục về hồ sơ và nộp tiền đặt trước, tiền mua hồ sơ tham gia đấu giá trong thời hạn quy định.

+ Phải có đủ năng lực hành vi dân sự theo quy định của pháp luật.

+ Mỗi hộ gia đình chỉ được cử 01 cá nhân tham gia đấu giá trên một thửa.

- Những trường hợp không được đăng ký tham gia đấu giá:

a) Người không có năng lực hành vi dân sự, người bị mất hoặc bị hạn chế năng lực hành vi dân sự, người có khó khăn trong nhận thức, làm chủ hành vi hoặc người tại thời điểm đăng ký tham gia đấu giá không nhận thức, làm chủ được hành vi của mình;

b) Người làm việc trong tổ chức đấu giá tài sản thực hiện cuộc đấu giá; cha, mẹ, vợ, chồng, con, anh ruột, chị ruột, em ruột của đấu giá viên điều hành cuộc đấu giá; người trực tiếp giám định; định giá tài sản; cha; mẹ, vợ, chồng, con, anh ruột, chị ruột, em ruột của người trực tiếp giám định; định giá tài sản;

c) Người được chủ sở hữu tài sản ủy quyền xử lý tài sản, người có quyền quyết định bán tài sản, người ký hợp đồng dịch vụ đấu giá tài sản, người có quyền quyết định bán tài sản của người khác theo quy định của pháp luật;

d) Cha, mẹ, chồng, con, anh ruột, chị ruột, em ruột của người quy định tại điểm c khoản này;

đ) Người không có quyền mua tài sản đấu giá theo quy định pháp luật áp dụng đối với loại tài sản đó.

- Cách thức thực hiện thủ tục đấu giá: Theo thông báo, nội quy, quy chế và quy trình của Công ty tại Chi nhánh/Văn phòng đại diện Công ty Đấu giá Hợp danh Tài sản Toàn Cầu tại Quảng Bình - Địa chỉ: Số 71 Đường Lý Thường Kiệt, Phường Đồng Mỹ, Thành phố Đồng Hới, tỉnh Quảng Bình, Việt Nam.

11. Thời gian, địa điểm nộp tiền đặt trước và bỏ phiếu trả giá: Từ ngày 23/12/2019 đến 16h30 ngày 25/12/2019 (trong giờ hành chính).

- Nộp tiền đặt trước vào tài khoản Ban Quản lý dự án ĐTXD và PTQĐ thị xã Ba Đồn do Công ty Đấu giá Hợp danh Tài sản Toàn Cầu ủy quyền. Tài khoản Ban Quản lý dự án ĐTXD và PTQĐ thị xã Ba Đồn, số tài khoản: 3804201008050 tại Ngân hàng Nông nghiệp và Phát triển Nông thôn Việt Nam (Agribank) chi nhánh huyện Quảng Trạch Bắc Quảng Bình.

- Bỏ phiếu trả giá tại UBND xã Quảng Lộc. Địa chỉ: xã Quảng Lộc, thị xã Ba Đồn, tỉnh Quảng Bình.

12. Thời gian, địa điểm tổ chức buổi công bố kết quả trả giá: Vào lúc 08h30 phút ngày 28/12/2019 tại trụ sở UBND xã Quảng Lộc, thị xã Ba Đồn, tỉnh Quảng Bình.

Tổ chức, cá nhân có nhu cầu xin hệ tại:

- Công ty Đấu giá Hợp danh Tài sản Toàn Cầu, số 001 Cao ốc Thái An 2, Số 1/45 Nguyễn Văn Quá, Khu phố 5, P.Đông Hưng Thuận, Quận 12, Tp. Hồ Chí Minh, Việt Nam.

Điện thoại: 028.39406853 - (028) 62561989    DĐ: 0987435509

Fax    : 028.39406853 - (028) 62561989

- Văn phòng đại diện/Chi nhánh Công ty Đấu giá Hợp danh Tài sản Toàn Cầu tại Quảng Bình - Địa chỉ: Số 71 Đường Lý Thường Kiệt, Phường Đồng Mỹ, Thành phố Đồng Hới, tỉnh Quảng Bình, Việt Nam.

Điện thoại: (0232) 3798555       DĐ: 0354754505

Fax    : (0232) 3798555      DĐ: 0917656006

- Ban Quản lý dự án đầu tư xây dựng và phát triển quỹ đất thị xã Ba Đồn. Địa chỉ: Số 21, đường Lý Thường Kiệt, phường Ba Đồn, thị xã Ba Đồn, tỉnh Quảng Bình.

Điện thoại: 02323.515.599

- Và tại các địa phương có thửa đất đưa ra đấu giá.

Để biết thêm thông tin chi tiết về tài sản trước khi tham gia đấu giá.

Kết nối đầu tư