Ngày 28/12/2019, đấu giá quyền sử dụng đất tại huyện Phú Riềng, tỉnh Bình Phước

(BĐT) - Trung tâm dịch vụ đấu giá tài sản tỉnh Bình Phước thông báo bán đấu giá tài sản vào ngày 28/12/2019 do Ban Quản lý dự án xây dựng huyện Phú Riềng ủy quyền như sau:

1/ Tổ chức đấu giá: Trung tâm dịch vụ đấu giá tài sản tỉnh Bình Phước. Địa chỉ: Đường Trần Hưng Đạo, Tân Phú, Đồng Xoài, Bình Phước

2/ Người có tài sản đấu giá: Ban Quản lý dự án xây dựng huyện Phú Riềng. Địa chỉ: Xã Phú Riềng, huyện Phú Riềng, tỉnh Bình Phước

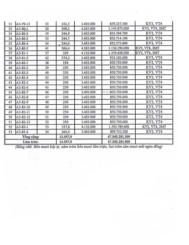
3/ Tài sản đấu giá là Quyền sử dụng đất 53 lô thuộc Khu Trung tâm hành chính huyện Phú Riềng giai đoạn 3 (Cụm A3-77 đến A3-83). Kèm theo danh sách chi tiết

- Tổng diện tích là: 13.557,9 m2:

- Mục đích sử dụng: Đất ở nông thôn   

- Thời hạn sử dụng: Lâu dài

- Hình thức giao đất: Nhà nước giao đất có thu tiền sử dụng đất thông qua hình thức đấu giá quyền sử dụng đất.

- Vị trí: 53 lô đất tọa lạc tại thôn Tân Hòa, xã Bù Nho, huyện Phú Riềng, tỉnh Bình Phước.

4/ Tổng giá khởi điểm là: 47.545.281.000 đồng (Bốn mươi bảy tỷ, năm trăm bốn mươi lăm triệu, hai trăm tám mươi mốt ngàn đồng).

Tất cả 53 lô đất sẽ được tổ chức đấu giá riêng lẻ theo từng lô

5/ Phương thức đấu giá: Phương thức trả giá lên.

6/ Hình thức đấu giá: Đấu giá bằng hình thức bỏ phiếu kín trực tiếp tại cuộc đấu giá.

7/ Thời gian, địa điểm phát hành hồ sơ tham gia đấu giá: Từ ngày 04/12/2019 đến 17 giờ 00 phút ngày 25/12/2019 tại 02 địa điểm là: Trung tâm dịch vụ đấu giá tài sản tỉnh Bình Phước và Ban Quản lý dự án xây dựng huyện Phú Riềng.

8/ Thời gian xem tài sản: Từ ngày 16/12/2019 đến ngày 18/12/2019 tại khu đất đấu giá (Thôn Bình Tân, xã Bù Nho, huyện Phú Riềng, tỉnh Bình Phước).

9/ Thời gian, địa điểm đấu giá dự kiến: 08 giờ 30 phút ngày 28/12/2019 tại Hội trường UBND xã Phú Riềng, huyện Phú Riềng, tỉnh Bình Phước.

10/ Khoản tiền đặt trước là: 15% của giá khởi điểm của tài sản.

11/ Thời gian, địa điểm, điều kiện, cách thức đăng ký tham gia đấu giá:

- Khách hàng đăng ký tham gia đấu giá phải trực tiếp đăng ký tham gia đấu giá từ ngày 04/12/2019 đến 17 giờ 00 phút ngày 25/12/2019, tại 02 địa điểm là: Trung tâm dịch vụ đấu giá tài sản tỉnh Bình Phước và Ban Quản lý dự án xây dựng huyện Phú Riềng. Trường hợp đăng ký thay thì phải có giấy ủy quyền theo quy định của pháp luật.

*Điều kiện đăng ký tham gia đấu giá

- Có đơn đề nghị được tham gia đấu giá theo mẫu do Trung tâm dịch vụ đấu giá phát hành.

- Chứng minh nhân dân (thẻ căn cước công dân) và hộ khẩu phải có chứng thực bản sao từ bản chính của cơ quan có thẩm quyền nếu là hộ gia đình, cá nhân.

- Chứng minh nhân dân (thẻ căn cước công dân) và Giấy phép đăng ký kinh phải có chứng thực bản sao từ bản chính của cơ quan có thẩm quyền nếu là tổ chức kinh tế.

- Giấy nộp tiền đặt trước theo đúng quy định.

- Cam kết xem tài sản đấu giá.

- Đối với tổ chức hoạt động trong lĩnh vực kinh doanh bất động sản phải thành lập doanh nghiệp hoặc hợp tác xã theo quy định của pháp luật về hợp tác xã, phải có chức năng kinh doanh bất động sản, giấy tờ chứng minh có vốn pháp định không thấp hơn 20 tỷ đồng.

- Một (01) tổ chức chỉ được một (01) cá nhân đại diện tham gia đấu giá; trường hợp có hai (02) doanh nghiệp trở lên thuộc cùng một (01) tổng công ty hoặc tập đoàn thì chỉ được một (01) doanh nghiệp tham gia đấu giá; trường hợpk tổng công ty hoặc tập đoàn với công ty thành viên, công ty mẹ và công ty con, doanh nghiệp liên doanh với một bên góp vốn trong liên doanh thì chỉ được (một) doanh nghiệp tham gia đấu giá.

- Người tham gia đấu giá phải nộp tiền hồ sơ tham gia đấu giá là: 500.000 đồng/ hồ sơ/lô.

12/ Đối tượng tham gia đấu giá: Tổ chức kinh tế, hộ gia đình, cá nhân thuộc đối tượng được Nhà nước giao đất có thu tiền sử dụng đất hoặc cho thuê đất theo quy định của Luật đất đai có nhu cầu sử dụng đất để thực hiện dự án đầu tư hoặc làm nhà ở (có kinh doanh dịch vụ) theo quy hoạch đã được cơ quan Nhà nước có thẩm quyền phê duyệt. Đồng thời không thuộc các trường hợp người không được tham gia đấu giá tại khoản 4, điều 38, Luật Đấu giá tài sản.

Mọi tổ chức có nhu cầu xin liên hệ tại Trung tâm dịch vụ đấu giá tài sản tỉnh Bình Phước; Địa chỉ: Đường Trần Hưng Đạo, Tân Phú, Đồng Xoài, Bình Phước.

Kết nối đầu tư