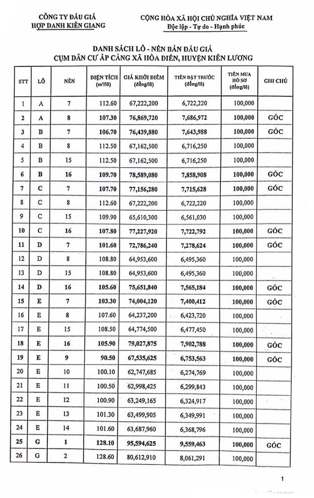
- Số lượng nền: 36 nền. (Có danh sách đính kèm).
- Diện tích đất: Từ 90.5 – 140.5m2/nền.
- Mục đích sử dụng: Đất ở nông thôn.
- Thời hạn sử dụng đất: Lâu dài.
- Giá khởi điểm từ: 62.747.685 – 95.594.625 đồng/nền.
Điều kiện tham gia đấu giá: Các cá nhân, tổ chức có đủ điều kiện về tài chính, năng lực hành vi dân sự; phải đăng ký đấu giá theo thời gian và đặt tiền cọc theo quy định.
Hình thức, phương thức đấu giá: Đấu giá trực tiếp bằng lời nói theo phương thức trả giá lên.
Tổ chức đấu giá: Lúc 9 giờ, ngày 21/07/2020 tại Hội trường UBND xã Hòa Điền, huyện Kiên Lương, tỉnh Kiên Giang.
Thời gian đăng ký tham gia đấu giá: Từ ngày ra Thông báo đến 11 giờ ngày 16/07/2020 (trong giờ hành chính).
Đại điểm đăng ký tham gia đấu giá:
+ Tại phòng Tài nguyên và Môi trường huyện Địa chỉ: Khu hành chính huyện, Khu phố Ba Hòn, thị trấn Kiên Lương, huyện Kiên Lương, tỉnh Kiên Giang. Điện thoại: 02973.751.123.
+ Công ty Đấu giá Hợp danh Kiên Giang. Địa chỉ: Số 738 Nguyễn Trung Trực, phường An Hòa, thành phố Rạch Giá, tỉnh Kiên Giang. Điện thoại: 0297 3920497, fax: 0297 3920347
Thời gian và địa điểm xem tài sản: Từ 7 giờ 30 phút đến 11 giờ 00 phút, ngày 10/07/2020.
Tiền mua hồ sơ tham gia đấu giá: 100.000 đồng/hồ sơ đăng ký.
Tiền đặt trước: 20%/giá khởi điểm; tiền đặt trước được nộp vào tài khoản của Công ty Đấu giá Hợp danh từ ngày 14/07/2020 và đến 14 giờ 16/07/2020 (giờ hành chính).
![]() |
![]() |

