Ngày 13/12/2019, đấu giá quyền sử dụng đất tại huyện Quảng Ninh, tỉnh Quảng Bình

(BĐT) - Trung tâm Dịch vụ đấu giá tài sản tỉnh Quảng Bình thông báo bán đấu giá tài sản vào ngày 13/12/2019 do Ban quản lý dự án Đầu tư xây dựng và Phát triển quỹ đất huyện Quảng Ninh, tỉnh Quảng Bình  ủy quyền như sau:

1. Tổ chức đấu giá tài sản: Trung tâm Dịch vụ đấu giá tài sản tỉnh Quảng Bình. Địa chỉ: Số 52, Nguyễn Hữu Cảnh, thành phố Đồng Hới, tỉnh Quảng Bình.

2. Tổ chức có quyền đưa tài sản ra đấu giá: Ban quản lý dự án Đầu tư xây dựng và Phát triển quỹ đất huyện Quảng Ninh, tỉnh Quảng Bình. Địa chỉ: Tiểu khu 6, thị trấn Quán Hàu, huyện Quảng Ninh, tỉnh Quảng Bình.

3. Tài sản đấu giá: Quyền sử dụng đất ở đối với các thửa đất tại xã An Ninh và xã Tân Ninh thuộc huyện Quảng Ninh. Cụ thể như sau:

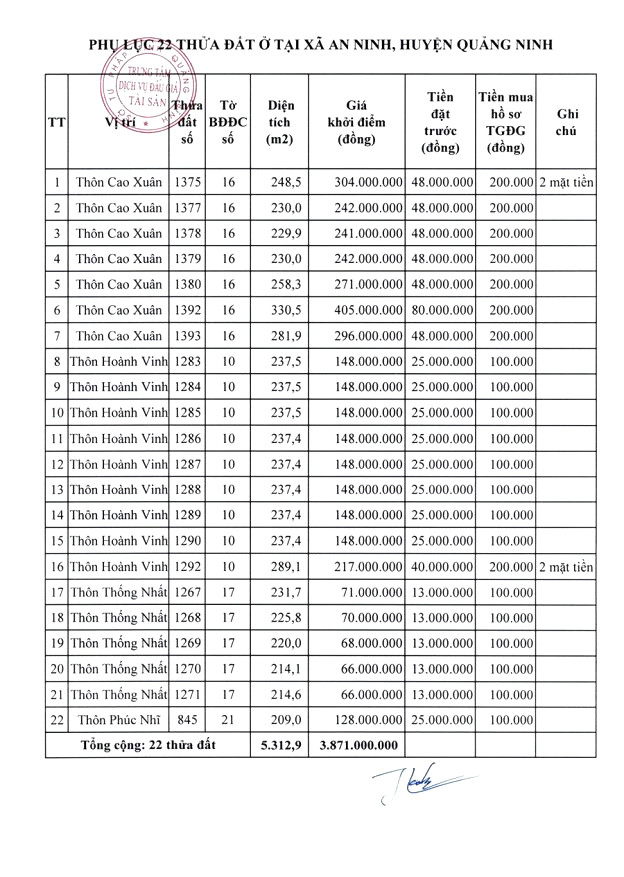
- Xã An Ninh: 22 thửa đất; Diện tích từ 209,0m2/thửa đến 330,5m2/thửa; Giá khởi điểm từ 66.000.000,đồng/thửa đến 405.000.000,đồng/thửa.

- Xã Tân Ninh: 24 thửa đất; Diện tích từ 176,5m2/thửa đến 256,5m2/thửa; Giá khởi điểm từ 291.000.000,đồng/thửa đến 638.000.000,đồng/thửa.

Danh mục, diện tích, vị trí, giá khởi điểm của từng thửa đất được niêm yết tại Trung tâm Dịch vụ đấu giá tài sản tỉnh Quảng Bình, Ban quản lý dự án Đầu tư xây dựng và Phát triển quỹ đất huyện Quảng Ninh và tại trụ sở UBND các xã An Ninh và xã Tân Ninh.

4. Hình thức, phương thức đấu giá: Đấu giá bằng bỏ phiếu gián tiếp theo phương thức trả giá lên (01 lần).

5. Tiền đặt trước: Nộp từ 15% - 20% trên giá khởi điểm, tuỳ theo từng thửa đất đấu giá.

6. Tiền mua hồ sơ tham gia đấu giá: Nộp 100.000 đồng/hồ sơ/thửa hoặc 200.000 đồng/hồ sơ/thửa hoặc 500.000 đồng/hồ sơ/thửa, tuỳ theo từng thửa đất đấu giá.

7. Điều kiện, cách thức đăng ký tham gia đấu giá tài sản:

a) Điều kiện đăng ký tham gia đấu giá: Hộ gia đình, cá nhân thuộc đối tượng được Nhà nước giao đất có thu tiền sử dụng đất, chấp hành tốt pháp luật đất đai, thực hiện nghiêm túc theo quy định của pháp luật và phương án đấu giá đã được cấp có thẩm quyền phê duyệt.

b) Cách thức đăng ký tham gia đấu giá: Hộ gia đình, cá nhân đăng ký tham gia đấu giá nộp hồ sơ tham gia đấu giá hợp lệ tại trụ sở Ban quản lý dự án Đầu tư xây dựng và Phát triển quỹ đất huyện Quảng Ninh.

8. Thời gian, địa điểm xem tài sản: Vào ngày 03/12/2019 và ngày 04/12/2019 tại vị trí thửa đất đưa ra đấu giá. Khách hàng có nhu cầu liên hệ với Trung tâm Dịch vụ đấu giá tài sản để sắp xếp, bố trí thời gian đi xem tài sản.

9. Địa điểm nộp tiền đặt trước, đăng ký tham gia đấu giá và bỏ phiếu trả giá:

a) Tiền đặt trước nộp vào tài khoản của Trung tâm Dịch vụ đấu giá tài sản tỉnh Quảng Bình; Số tài khoản: 53110000188304; Mở tại: Ngân hàng TMCP Đầu tư và Phát triển Việt Nam - Chi nhánh Quảng Bình.

b) Địa điểm đăng ký tham gia đấu giá, bỏ phiếu trả giá: Tại trụ sở Ban quản lý dự án Đầu tư xây dựng và Phát triển Quỹ đất huyện Quảng Ninh, tỉnh Quảng Bình. Địa chỉ: Số 16 đường Lê Quý Đôn, tiểu khu 4, thị trấn Quán Hàu, huyện Quảng Ninh, tỉnh Quảng Bình.

10. Thời gian thực hiện các thủ tục đấu giá:

a) Thời gian đăng ký tham gia đấu giá: Từ 07h30/ ngày 19/11/2019 đến 16h30/ ngày 10/12/2019.

b) Thời gian nộp tiền đặt trước, bỏ phiếu trả giá: Từ 07h30/ ngày 06/12/2019 đến 16h30/ ngày 10/12/2019.

c) Thời gian, địa điểm tổ chức buổi công bố kết quả trả giá (Đối với quyền sử dụng đất ở tại xã An Ninh): Vào lúc 08h00’ ngày 13/12/2019 tại UBND xã An Ninh.

d) Thời gian, địa điểm tổ chức buổi công bố kết quả trả giá (Đối với quyền sử dụng đất ở tại xã Tân Ninh): Vào lúc 14h00’ ngày 13/12/2019 tại UBND xã Tân Ninh.

Các thủ tục trên được thực hiện trong giờ hành chính các ngày làm việc.

Mọi chi tiết xin liên hệ: Tại Trung tâm Dịch vụ đấu giá tài sản tỉnh Quảng Bình, điện thoại: 0232.3856585; Ban quản lý dự án Đầu tư xây dựng và Phát triển quỹ đất huyện Quảng Ninh, điện thoại: 0232.3910460; UBND xã An Ninh và xã Tân Ninh./.

Kết nối đầu tư