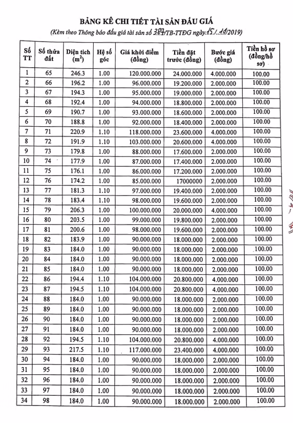
Ngày 12/12/2019, đấu giá quyền sử dụng 74 thửa đất tại huyện Krông Năng, tỉnh Đắk Lắk

(BĐT) - Trung tâm dịch vụ đấu giá tài sản tỉnh Đắk Lắk thông báo bán đấu giá tài sản vào ngày 12/12/2019 do Trung tâm PTQĐ huyện Krông Năng ủy quyền như sau:

 

 

Kết nối đầu tư