Đấu giá quyền sử dụng đất tại các lô đất thuộc khu quy hoạch dịch vụ hai bên cầu Tứ Phú xã Quảng Phú, huyện Quảng Điền

Thông báo bán đấu giá Quyền sử dụng đất khi Nhà nước cho thuê có thời hạn 30 năm, thu tiền sử dụng đất một lần tại các lô đất thuộc khu quy hoạch dịch vụ hai bên cầu Tứ Phú xã Quảng Phú, huyện Quảng Điền

Thời gian nộp hồ sơ đấu giá         09:00 29/01/2016 tại Trung tâm Dịch vụ bán đấu giá tài sản tỉnh Thừa Thiên Huế, 468 đường Nguyễn Văn Linh, phường An Hoà, TP Huế.

Thời gian tổ chức bán đấu giá      09:30 29/01/2016 tại UBND xã Quảng Phú

Trung tâm Dịch vụ bán đấu giá tài sản tỉnh Thừa Thiên Huế phối hợp với Trung tâm Phát triển Quỹ đất huyện Quảng Điền tổ chức bán đấu giá quyền sử dụng đất khi Nhà nước cho thuê đất có thời hạn 30 năm, thu tiền sử dụng đất một lần tại các lô đất thuộc Khu quy hoạch dịch vụ hai bên cầu Tứ Phú, xã Quảng Phú, huyện Quảng Điền, tỉnh Thừa Thiên Huế như sau:

I. Vị trí, đặc điểm, quỹ đất bán đấu giá:

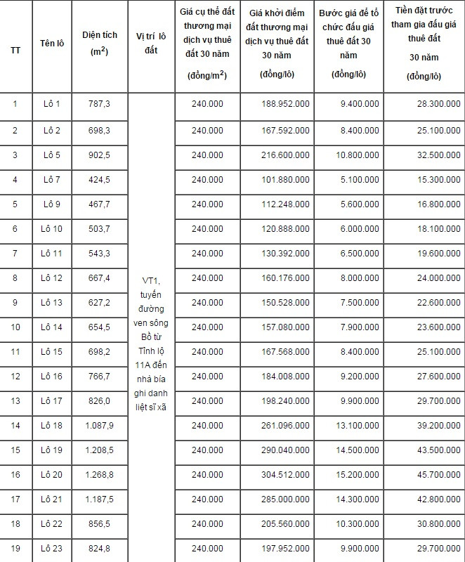
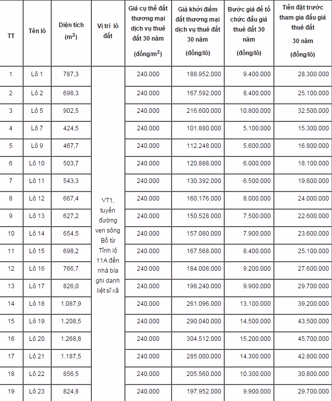
1. Tổng số lô: 19 lô.

2. Địa điểm: Thuộc khu quy hoạch dịch vụ hai bên cầu Tứ Phú, xã Quảng Phú, huyện Quảng Điền.

3. Mục đích sử dụng đất: Đất thương mại dịch vụ.

4. Thông số quy hoạch: Theo Quyết định số 1943/QĐ-UBND ngày 09/9/2015 của UBND huyện Quảng Điền về việc phê duyệt Phương án bán đấu giá quyền sử dụng đất khi Nhà nước cho thuê đất có thời hạn 30 năm, thu tiền sử dụng đất một lần tại các lô đất thuộc Khu quy hoạch dịch vụ hai bên cầu Tứ Phú, xã Quảng Phú, huyện Quảng Điền; Trong đó có một số tiêu chí  như sau:

- Kiến trúc mặt đứng công trình xây dựng: Xây theo xu hướng hiện đại, tạo nên hình khối và mang không gian lớn đáp ứng yêu cầu và chức năng sử dụng. Hạn chế, không áp dụng hoàn toàn phong cách “Âu Hóa”, phải phù hợp với phong tục tập quán tại địa phương.

- Kiến trúc cảnh quan, cây xanh: Trong khuôn viên của từng công trình cụ thể khi xây mới không vượt quá 70% diện tích đất, phải giữ tối thiểu 30% diện tích tổ chức sân bãi hoặc trồng cây xanh nhằm mục đích thông thoáng và lấy ánh sáng tự nhiên. Khuyến khích trồng cây xanh đa chủng loại, đa màu sắc cùng với công trình kiến trúc tạo nên không gian gần gũi.

- Chỉ giới xây dựng: Lùi 4m so với chỉ giới đường đỏ (đường giao thông liên xã qua khu quy hoạch).

- Mật độ xây dựng: 70%.

5.Thời hạn sử dụng đất: 30 năm (ba mươi năm).

6. Thời gian đầu tư để thực hiện dự án: Không quá 12 tháng kể từ ngày phê duyệt kết quả trúng đấu giá.

7. Tổng mức đầu tư dự án: 500 triệu đồng.

II. Mức giá tối thiểu, tiền đặt trước, bước giá của từng lô đất 

III. Đối tượng, điều kiện được tham gia đấu giá:

1. Đối tượng tham gia đấu giá: Tổ chức kinh tế, hộ gia đình, cá nhân.

2. Điều kiện tham gia đấu giá: Có đơn đề nghị tham gia đấu giá theo mẫu do cơ quan tổ chức đấu giá phát hành (bao gồm có quy định về các loại giấy tờ kèm theo đơn), trong đó có nội dung cam kết sử dụng đất đúng mục đích, đúng quy hoạch khi trúng đấu giá; có cam kết thời gian đầu tư để thực hiện dự án không quá 12 tháng kể từ ngày phê duyệt kết quả trúng đấu giá, cam kết tổng mức đầu tư dự án 500 triệu đồng trở lên; Có dự án đầu tư và điều kiện về năng lực tài chính để đảm bảo việc sử dụng đất theo tiến độ của dự án đầu tư; Không vi phạm quy định của pháp luật về đất đai đối với trường hợp đang sử dụng đất do Nhà nước giao đất, cho thuê đất để thực hiện dự án đầu tư khác.

IV. Thời gian, địa điểm xem tài sản, tham khảo hồ sơ tham gia đấu giá, nộp hồ sơ tham gia đấu giá và tiền đặt trước, phí tham gia đấu giá:

1. Thời gian, địa điểm xem tài sản: Từ ngày ra thông báo cho đến hết ngày 27/01/2016 tại vị trí các lô đất theo thông báo bán đấu giá.

2. Thời gian, địa điểm tham khảo hồ sơ tham gia đấu giá: Từ ngày ra thông báo cho đến trước 09 giờ 30 ngày 29/01/2016 tại Trung tâm Phát triển quỹ đất huyện Quảng Điền, Trung tâm Dịch vụ bán đấu giá tài sản tỉnh Thừa Thiên Huế và UBND xã Quảng Phú, huyện Quảng Điền.

3.Thời gian, địa điểm nhận hồ sơ tham gia đấu giá và tiền đặt trước:

  - Từ ngày 26/01/2016 đến 16 giờ 30 ngày 28/01/2016 nhận hồ sơ tại Trung tâm Phát triển quỹ đất huyện Quảng Điền hoặc Trung tâm Dịch vụ bán đấu giá tài sản tỉnh Thừa Thiên Huế;

  - Từ 07 giờ 00 đến 09 giờ 30 ngày 29/01/2016 nhận hồ sơ và tiền đặt trước tại UBND xã Quảng Phú, huyện Quảng Điền.

4. Phí tham gia đấu giá: 1.000.000 đồng/lô.

VI. Thời gian và địa điểm tổ chức bán đấu giá:

1. Thời gian bán đấu giá: 09 giờ 30 ngày 29/01/2016.

2. Địa điểm bán đấu giá: Hội trường UBND xã Quảng Phú, huyện Quảng Điền, tỉnh Thừa Thiên Huế.

Tổ chức kinh tế, hộ gia đình, cá nhân có nhu cầu tham gia đấu giá tài sản trên đăng ký tại Trung tâm Dịch vụ bán đấu giá tài sản tỉnh Thừa Thiên Huế, 468 đường Nguyễn Văn Linh, phường An Hòa, thành phố Huế, điện thoại: 054.3589797, website: daugiatthue.com; Trung tâm Phát triển quỹ đất huyện Quảng Điền, điện thoại: 054.3556606 hoặc UBND xã Quảng Phú, huyện Quảng Điền./. 

(đồng/lô)
(đồng/lô)
(đồng/lô)
(đồng/lô)

Kết nối đầu tư